Suppr超能文献

与工作记忆中听觉持续时间维持相关的神经振荡。

Neural oscillations associated with auditory duration maintenance in working memory.

机构信息

Key Laboratory of Cognition and Personality (SWU), Ministry of Education, Chongqing, 400715, China.

Faculty of Psychology, Southwest University, Chongqing, 400715, China.

出版信息

Sci Rep. 2017 Jul 18;7(1):5695. doi: 10.1038/s41598-017-06078-2.

Abstract

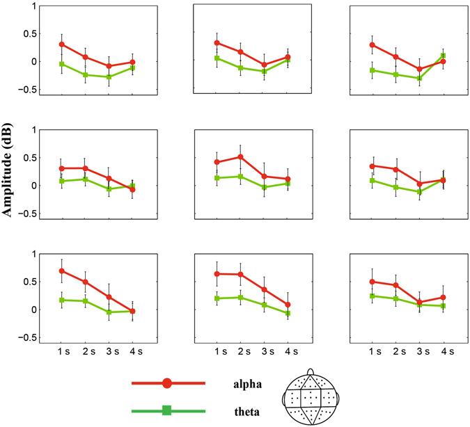
The neural representation of auditory duration remains unknown. Here, we used electroencephalogram (EEG) recordings to investigate neural oscillations during the maintenance of auditory duration in working memory (WM). EEG analyses indicated that the auditory duration length was not associated with changes in the theta band amplitude, whereas the alpha band amplitudes during 3-s and 4-s auditory duration conditions were lower than during the 1-s and 2-s conditions. Moreover, the alpha band amplitude and accuracy were positively correlated in the 2-s duration condition. We also found that the neural representation of auditory duration is segmented, with a critical threshold point of approximately 2 s, which is shorter than that for visual duration (3 s). The results emphasised the involvement of the alpha band in auditory duration maintenance in WM. Our study's findings indicate that different internal representations of auditory durations are maintained in WM below and above 2 s from the perspective of electrophysiology. Additionally, the critical threshold point is related to the sensory modality of duration.

摘要

听觉时长的神经表示形式尚不清楚。在这里,我们使用脑电图 (EEG) 记录来研究工作记忆 (WM) 中听觉时长维持过程中的神经振荡。EEG 分析表明,听觉时长长度与θ带振幅的变化无关,而在 3 秒和 4 秒听觉时长条件下的α带振幅低于 1 秒和 2 秒条件。此外,在 2 秒时长条件下,α 带振幅与准确性呈正相关。我们还发现,听觉时长的神经表示形式是分段的,大约有 2 秒的临界阈值点,比视觉时长(3 秒)短。研究结果强调了α带在 WM 中听觉时长维持中的作用。我们的研究结果表明,从电生理学的角度来看,WM 中低于和高于 2 秒的听觉时长具有不同的内部表示形式。此外,临界阈值点与时长的感觉模态有关。

https://cdn.ncbi.nlm.nih.gov/pmc/blobs/5212/5515924/2505d1afeccf/41598_2017_6078_Fig1_HTML.jpg

文献检索

告别复杂PubMed语法,用中文像聊天一样搜索,搜遍4000万医学文献。AI智能推荐,让科研检索更轻松。

立即免费搜索

文件翻译

保留排版,准确专业,支持PDF/Word/PPT等文件格式,支持 12+语言互译。

免费翻译文档

深度研究

AI帮你快速写综述,25分钟生成高质量综述,智能提取关键信息,辅助科研写作。

立即免费体验