Suppr超能文献

用于自修复混凝土的管状聚合物胶囊的模拟辅助设计

Simulation-Aided Design of Tubular Polymeric Capsules for Self-Healing Concrete.

作者信息

Šavija Branko, Feiteira João, Araújo Maria, Chatrabhuti Sutima, Raquez Jean-Marie, Van Tittelboom Kim, Gruyaert Elke, De Belie Nele, Schlangen Erik

机构信息

Microlab, Faculty of Civil Engineering and Geosciences, Delft University of Technology, Stevinweg 1, 2628CN Delft, The Netherlands.

Magnel Laboratory for Concrete Research, Department of Structural Engineering, Faculty of Engineering and Architecture, Ghent University, Technologiepark Zwijnaarde 904, 9052 Ghent, Belgium.

出版信息

Materials (Basel). 2016 Dec 24;10(1):10. doi: 10.3390/ma10010010.

Abstract

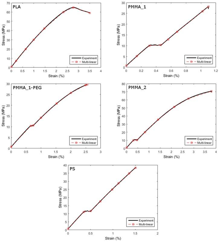
Polymeric capsules can have an advantage over glass capsules used up to now as proof-of-concept carriers in self-healing concrete. They allow easier processing and afford the possibility to fine tune their mechanical properties. Out of the multiple requirements for capsules used in this context, the capability of rupturing when crossed by a crack in concrete of a typical size is one of the most relevant, as without it no healing agent is released into the crack. This study assessed the fitness of five types of polymeric capsules to fulfill this requirement by using a numerical model to screen the best performing ones and verifying their fitness with experimental methods. Capsules made of a specific type of poly(methyl methacrylate) (PMMA) were considered fit for the intended application, rupturing at average crack sizes of 69 and 128 μm, respectively for a wall thickness of ~0.3 and ~0.7 mm. Thicker walls were considered unfit, as they ruptured for crack sizes much higher than 100 μm. Other types of PMMA used and polylactic acid were equally unfit for the same reason. There was overall good fitting between model output and experimental results and an elongation at break of 1.5% is recommended regarding polymers for this application.

摘要

作为自修复混凝土概念验证载体,聚合物胶囊相较于目前使用的玻璃胶囊具有优势。它们加工更简便,并且能够微调其机械性能。在用于此目的的胶囊的多项要求中,当被典型尺寸的混凝土裂缝穿过时破裂的能力是最关键的要求之一,因为没有这一能力,愈合剂就不会释放到裂缝中。本研究通过使用数值模型筛选性能最佳的聚合物胶囊并采用实验方法验证其适用性,评估了五种类型的聚合物胶囊满足这一要求的程度。由特定类型的聚甲基丙烯酸甲酯(PMMA)制成的胶囊被认为适用于预期应用,对于壁厚约为0.3毫米和0.7毫米的胶囊,分别在平均裂缝尺寸为69微米和128微米时破裂。较厚的壁被认为不适用,因为它们在裂缝尺寸远高于100微米时才会破裂。使用的其他类型的PMMA和聚乳酸同样因相同原因不适用。模型输出与实验结果总体吻合良好,对于此应用的聚合物,建议断裂伸长率为1.5%。

https://cdn.ncbi.nlm.nih.gov/pmc/blobs/c6fe/5344596/a463863d6b4d/materials-10-00010-g001.jpg

相似文献

1
Simulation-Aided Design of Tubular Polymeric Capsules for Self-Healing Concrete.
Materials (Basel). 2016 Dec 24;10(1):10. doi: 10.3390/ma10010010.
2
Self-Healing Concrete Using Rubber Particles to Immobilize Bacterial Spores.
Materials (Basel). 2019 Jul 19;12(14):2313. doi: 10.3390/ma12142313.
3
Analytical model for effects of capsule shape on the healing efficiency in self-healing materials.
PLoS One. 2017 Nov 2;12(11):e0187299. doi: 10.1371/journal.pone.0187299. eCollection 2017.
5
Feasibility and Compatibility of a Biomass Capsule System in Self-Healing Concrete.
Materials (Basel). 2021 Feb 18;14(4):958. doi: 10.3390/ma14040958.
6
Detecting the activation of a self-healing mechanism in concrete by acoustic emission and digital image correlation.
ScientificWorldJournal. 2013 Dec 8;2013:424560. doi: 10.1155/2013/424560. eCollection 2013.
10
Self-Healing in Cementitious Materials-A Review.
Materials (Basel). 2013 May 27;6(6):2182-2217. doi: 10.3390/ma6062182.

引用本文的文献

1
Self-Healing Mechanical Properties of Selected Roofing Felts.
Materials (Basel). 2023 Jan 31;16(3):1204. doi: 10.3390/ma16031204.
4
Behaviour of Pre-Cracked Self-Healing Cementitious Materials under Static and Cyclic Loading.
Materials (Basel). 2020 Mar 5;13(5):1149. doi: 10.3390/ma13051149.
5
Smart Crack Control in Concrete through Use of Phase Change Materials (PCMs): A Review.
Materials (Basel). 2018 Apr 24;11(5):654. doi: 10.3390/ma11050654.

本文引用的文献

1
Self-Healing in Cementitious Materials-A Review.
Materials (Basel). 2013 May 27;6(6):2182-2217. doi: 10.3390/ma6062182.
2
A 3D Lattice Modelling Study of Drying Shrinkage Damage in Concrete Repair Systems.
Materials (Basel). 2016 Jul 14;9(7):575. doi: 10.3390/ma9070575.
3
A novel capsule-based self-recovery system with a chloride ion trigger.
Sci Rep. 2015 Jun 8;5:10866. doi: 10.1038/srep10866.
4
Autonomic healing of polymer composites.
Nature. 2001 Feb 15;409(6822):794-7. doi: 10.1038/35057232.

文献AI研究员

20分钟写一篇综述,助力文献阅读效率提升50倍。

立即体验

用中文搜PubMed

大模型驱动的PubMed中文搜索引擎

马上搜索

文档翻译

学术文献翻译模型,支持多种主流文档格式。

立即体验