Suppr超能文献

溶剂诱导的铁(II)自旋交叉配合物的多晶型现象。

Solvent-Induced Polymorphism of Iron(II) Spin Crossover Complexes.

作者信息

Šalitroš Ivan, Fuhr Olaf, Ruben Mario

机构信息

Institut für Nanotechnologie, Karlsruher Institut für Technologie, Postfach 3640, Karlsruhe 76021, Germany.

Faculty of Chemical and Food Technology, Institute of Inorganic Chemistry, Technology and Materials, Slovak University of Technology, Bratislava 812 37, Slovakia.

出版信息

Materials (Basel). 2016 Jul 19;9(7):585. doi: 10.3390/ma9070585.

Abstract

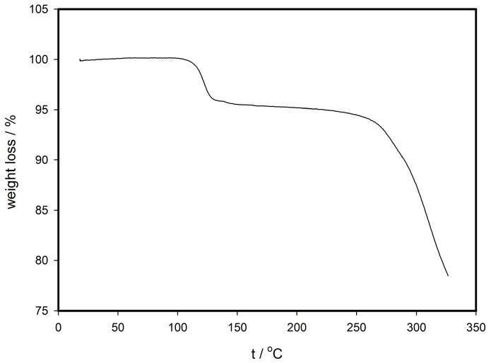
Two new mononuclear iron(II) compounds () and () of the general formula Fe()₂₂·nCH₃CN ( = 4-(2-bromoethyn-1-yl)-2,6-bis(pyrazol-1-yl)pyridine, = 1 for () and = 2 for compound ()), were synthesized. The room temperature crystallization afforded concomitant formation of two different solvent analogues: compound () exhibiting triclinic P-1 and compound () monoclinic C2/c symmetry. Single-crystal X-ray studies confirmed the presence of the LS (low-spin) state for both compounds at 180 K and of the HS (high-spin) state for compound () at 293 K, in full agreement with the magnetic investigations for both solvent polymorphs. Compound () exhibits spin transition above 293 K followed by subsequent solvent liberation, while the spin transition of () takes already place at 237 K. After complete solvent removal from the crystal lattice, compound () (the desolvated polymorph derived from ()) exhibits spin transition centered at 342 K accompanied by a thermal hysteresis loop, while the analogous compound () (the desolvated derivate of compound ()) remains blocked in the HS state over all the investigated temperature range.

摘要

合成了两种通式为Fe()₂₂·nCH₃CN(= 4-(2-溴乙炔基)-2,6-双(吡唑-1-基)吡啶,对于化合物(),n = 1;对于化合物(),n = 2)的新型单核铁(II)化合物()和()。室温结晶伴随形成两种不同的溶剂类似物:化合物()呈现三斜P-1对称性,化合物()呈现单斜C2/c对称性。单晶X射线研究证实,两种化合物在180 K时均处于低自旋(LS)态,化合物()在293 K时处于高自旋(HS)态,这与两种溶剂多晶型物的磁性研究完全一致。化合物()在293 K以上表现出自旋转变,随后伴随溶剂释放,而化合物()的自旋转变在237 K时就已发生。从晶格中完全除去溶剂后,化合物()(由()衍生的去溶剂化多晶型物)在342 K左右表现出自旋转变,并伴有热滞回线,而类似的化合物()(化合物()的去溶剂化衍生物)在所有研究温度范围内均保持在HS态。

https://cdn.ncbi.nlm.nih.gov/pmc/blobs/751a/5456902/9b8245b5ae23/materials-09-00585-g001.jpg

文献AI研究员

20分钟写一篇综述,助力文献阅读效率提升50倍。

立即体验

用中文搜PubMed

大模型驱动的PubMed中文搜索引擎

马上搜索

文档翻译

学术文献翻译模型,支持多种主流文档格式。

立即体验