Suppr超能文献

使用双轴嵌入式光纤布拉格光栅传感器监测疲劳载荷下FRP复合材料的泊松比退化

Monitoring Poisson's Ratio Degradation of FRP Composites under Fatigue Loading Using Biaxially Embedded FBG Sensors.

作者信息

Akay Erdem, Yilmaz Cagatay, Kocaman Esat S, Turkmen Halit S, Yildiz Mehmet

机构信息

Faculty of Aeronautics and Astronautics, Ayazaga Campus, Istanbul Technical University, Maslak, Istanbul 34469, Turkey.

Faculty of Engineering and Natural Sciences, SU-Kordsa Composite Technologies Center of Excellence and Integrated Manufacturing Technologies Research and Application Center, Sabanci University, Orhanli-Tuzla, Istanbul 34956, Turkey.

出版信息

Materials (Basel). 2016 Sep 19;9(9):781. doi: 10.3390/ma9090781.

Abstract

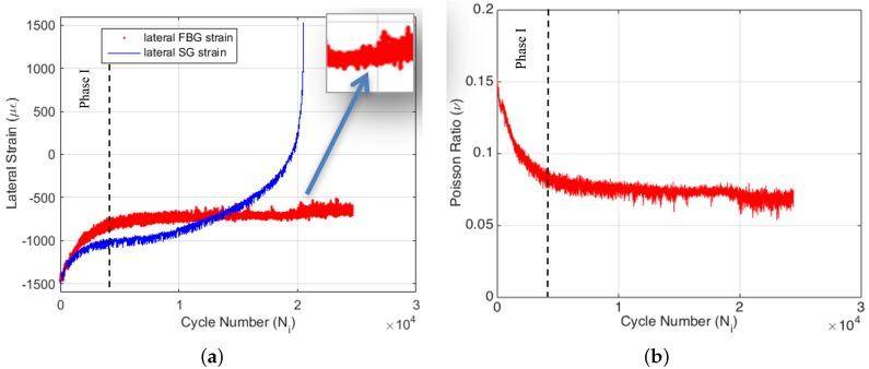
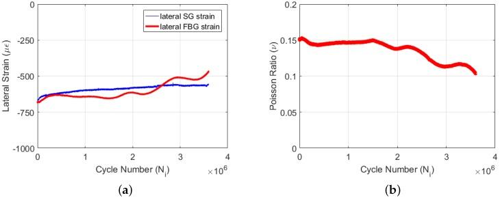
The significance of strain measurement is obvious for the analysis of Fiber-Reinforced Polymer (FRP) composites. Conventional strain measurement methods are sufficient for static testing in general. Nevertheless, if the requirements exceed the capabilities of these conventional methods, more sophisticated techniques are necessary to obtain strain data. Fiber Bragg Grating (FBG) sensors have many advantages for strain measurement over conventional ones. Thus, the present paper suggests a novel method for biaxial strain measurement using embedded FBG sensors during the fatigue testing of FRP composites. Poisson's ratio and its reduction were monitored for each cyclic loading by using embedded FBG sensors for a given specimen and correlated with the fatigue stages determined based on the variations of the applied fatigue loading and temperature due to the autogenous heating to predict an oncoming failure of the continuous fiber-reinforced epoxy matrix composite specimens under fatigue loading. The results show that FBG sensor technology has a remarkable potential for monitoring the evolution of Poisson's ratio on a cycle-by-cycle basis, which can reliably be used towards tracking the fatigue stages of composite for structural health monitoring purposes.

摘要

应变测量对于纤维增强聚合物(FRP)复合材料的分析具有重要意义。一般来说,传统的应变测量方法足以满足静态测试的需求。然而,如果要求超出了这些传统方法的能力范围,就需要更复杂的技术来获取应变数据。与传统方法相比,光纤布拉格光栅(FBG)传感器在应变测量方面具有许多优势。因此,本文提出了一种在FRP复合材料疲劳测试期间使用嵌入式FBG传感器进行双轴应变测量的新方法。对于给定的试样,通过使用嵌入式FBG传感器监测每次循环加载时的泊松比及其降低情况,并将其与基于由于自生热导致的施加疲劳载荷和温度变化所确定的疲劳阶段相关联,以预测连续纤维增强环氧基质复合材料试样在疲劳载荷下即将发生的失效。结果表明,FBG传感器技术在逐周期监测泊松比变化方面具有显著潜力,可可靠地用于跟踪复合材料的疲劳阶段,以实现结构健康监测目的。

https://cdn.ncbi.nlm.nih.gov/pmc/blobs/c707/5457062/fb6b227df19e/materials-09-00781-g001.jpg

文献检索

告别复杂PubMed语法,用中文像聊天一样搜索,搜遍4000万医学文献。AI智能推荐,让科研检索更轻松。

立即免费搜索

文件翻译

保留排版,准确专业,支持PDF/Word/PPT等文件格式,支持 12+语言互译。

免费翻译文档

深度研究

AI帮你快速写综述,25分钟生成高质量综述,智能提取关键信息,辅助科研写作。

立即免费体验