• 文献检索
  • 文档翻译
  • 深度研究
  • 学术资讯
  • Suppr Zotero 插件Zotero 插件
  • 邀请有礼
  • 套餐&价格
  • 历史记录
应用&插件
Suppr Zotero 插件Zotero 插件浏览器插件Mac 客户端Windows 客户端微信小程序
定价
高级版会员购买积分包购买API积分包
服务
文献检索文档翻译深度研究API 文档MCP 服务
关于我们
关于 Suppr公司介绍联系我们用户协议隐私条款
关注我们

Suppr 超能文献

核心技术专利:CN118964589B侵权必究
粤ICP备2023148730 号-1Suppr @ 2026

文献检索

告别复杂PubMed语法,用中文像聊天一样搜索,搜遍4000万医学文献。AI智能推荐,让科研检索更轻松。

立即免费搜索

文件翻译

保留排版,准确专业,支持PDF/Word/PPT等文件格式,支持 12+语言互译。

免费翻译文档

深度研究

AI帮你快速写综述,25分钟生成高质量综述,智能提取关键信息,辅助科研写作。

立即免费体验

干细胞中miR-21的过表达通过靶向PDCD4和PTEN抑制颗粒细胞凋亡,改善化疗诱导的卵巢损伤大鼠的卵巢结构和功能。

Overexpression of miR-21 in stem cells improves ovarian structure and function in rats with chemotherapy-induced ovarian damage by targeting PDCD4 and PTEN to inhibit granulosa cell apoptosis.

作者信息

Fu Xiafei, He Yuanli, Wang Xuefeng, Peng Dongxian, Chen Xiaoying, Li Xinran, Wang Qing

机构信息

Department of Obstetrics and Gynecology, Zhujiang Hospital, Southern Medical University, Guangzhou, Guangdong, People's Republic of China.

出版信息

Stem Cell Res Ther. 2017 Aug 14;8(1):187. doi: 10.1186/s13287-017-0641-z.

DOI:10.1186/s13287-017-0641-z
PMID:28807003
原文链接:https://pmc.ncbi.nlm.nih.gov/articles/PMC5556338/
Abstract

BACKGROUND

Chemotherapy-induced premature ovarian failure (POF) is a severe complication affecting tumor patients at a childbearing age. Mesenchymal stem cells (MSCs) can partially restore the ovarian structure and function damaged by chemotherapy. miR-21 is a microRNA that can regulate cell apoptosis. This study discusses the repair effect and mechanism of MSCs overexpressing miR-21 on chemotherapy-induced POF.

METHODS

Rat MSCs and granulosa cells (GCs) were isolated in vitro. MSCs were transfected with miR-21 lentiviral vector (LV-miR-21) to obtain MSCs stably expressing miR-21 (miR-21-MSCs). The microenvironment of an ovary receiving chemotherapy was mimicked by adding phosphamide mustard (PM) into the cellular culture medium. The apoptosis rate and the mRNA and protein expression of target genes PTEN and PDCD4 were detected in MSCs. Apoptosis was induced by adding PM into the culture medium for GCs, which were cocultured with miR-21-MSCs. The apoptosis rate and the mRNA and protein expression of PTEN and PDCD4 were detected. The chemotherapy-induced POF model was built into rats by intraperitoneal cyclophosphamide injection. miR-21-MSCs were transplanted into the bilateral ovary. The rats were sacrificed at 15, 30, 45, and 60 days after the last injection. The ovarian weights, follicle count, estrous cycle, and sex hormone levels (estradiol (E2) and follicle-stimulating hormone (FSH)) were detected. Apoptosis of GCs was determined by TUNEL assay. The miR-21 and mRNA and protein expression of PTEN and PDCD4 were determined.

RESULTS

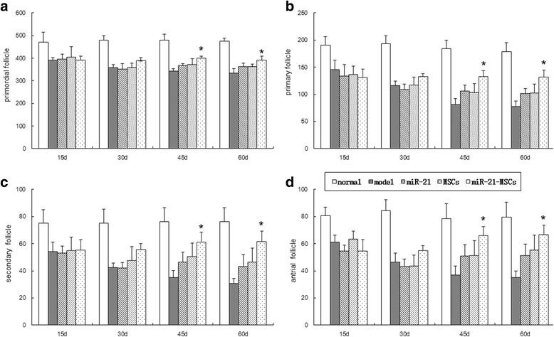
The apoptosis decreased in MSCs transfected with miR-21. The mRNA and protein expression of target genes PTEN and PDCD4 was downregulated. GCs cocultured with miR-21-MSCs showed a decreased apoptosis, an upregulation of miR-21, and a downregulation of PTEN and PDCD4. Following the injection of miR-21-MSCs, the ovarian weight and follicle counts increased; E levels increased while FSH levels decreased, with less severe apoptosis of GCs. The miR-21 expression in the ovaries was upregulated, while the mRNA expression and protein expression of PTEN and PDCD4 were downregulated.

CONCLUSIONS

Overexpression of miR-21 in MSCs promoted efficacy against chemotherapy-induced POF and its improvement of the repair effect was related to the inhibition of GC apoptosis by targeting PTEN and PDCD4.

摘要

背景

化疗诱导的卵巢早衰(POF)是影响育龄期肿瘤患者的一种严重并发症。间充质干细胞(MSCs)可部分恢复化疗损伤的卵巢结构和功能。miR-21是一种可调节细胞凋亡的微小RNA。本研究探讨过表达miR-21的MSCs对化疗诱导的POF的修复作用及机制。

方法

体外分离大鼠MSCs和颗粒细胞(GCs)。用miR-21慢病毒载体(LV-miR-21)转染MSCs,以获得稳定表达miR-21的MSCs(miR-21-MSCs)。通过向细胞培养基中添加磷酰胺芥(PM)模拟接受化疗的卵巢微环境。检测MSCs中的凋亡率以及靶基因PTEN和PDCD4的mRNA和蛋白表达。向GCs的培养基中添加PM诱导凋亡,将其与miR-21-MSCs共培养。检测凋亡率以及PTEN和PDCD4的mRNA和蛋白表达。通过腹腔注射环磷酰胺建立大鼠化疗诱导的POF模型。将miR-21-MSCs移植到双侧卵巢。在最后一次注射后15、30、45和60天处死大鼠。检测卵巢重量、卵泡计数、动情周期和性激素水平(雌二醇(E2)和卵泡刺激素(FSH))。通过TUNEL法检测GCs的凋亡情况。检测miR-21以及PTEN和PDCD4的mRNA和蛋白表达。

结果

转染miR-21的MSCs凋亡减少。靶基因PTEN和PDCD4的mRNA和蛋白表达下调。与miR-21-MSCs共培养的GCs凋亡减少,miR-21上调,PTEN和PDCD4下调。注射miR-21-MSCs后,卵巢重量和卵泡计数增加;E水平升高而FSH水平降低,GCs的凋亡减轻。卵巢中miR-21表达上调,而PTEN和PDCD4的mRNA表达和蛋白表达下调。

结论

MSCs中miR-21的过表达增强了对化疗诱导的POF的疗效,其修复效果的改善与通过靶向PTEN和PDCD4抑制GCs凋亡有关。

https://cdn.ncbi.nlm.nih.gov/pmc/blobs/a98e/5556338/272259dc93b8/13287_2017_641_Fig8_HTML.jpg
https://cdn.ncbi.nlm.nih.gov/pmc/blobs/a98e/5556338/74ff0f995217/13287_2017_641_Fig1_HTML.jpg
https://cdn.ncbi.nlm.nih.gov/pmc/blobs/a98e/5556338/74c64b3548dd/13287_2017_641_Fig2_HTML.jpg
https://cdn.ncbi.nlm.nih.gov/pmc/blobs/a98e/5556338/fd61cdf3294f/13287_2017_641_Fig3_HTML.jpg
https://cdn.ncbi.nlm.nih.gov/pmc/blobs/a98e/5556338/53c28724117b/13287_2017_641_Fig4_HTML.jpg
https://cdn.ncbi.nlm.nih.gov/pmc/blobs/a98e/5556338/08e7b7b89e25/13287_2017_641_Fig5_HTML.jpg
https://cdn.ncbi.nlm.nih.gov/pmc/blobs/a98e/5556338/e94c008645ac/13287_2017_641_Fig6_HTML.jpg
https://cdn.ncbi.nlm.nih.gov/pmc/blobs/a98e/5556338/680263fb5376/13287_2017_641_Fig7_HTML.jpg
https://cdn.ncbi.nlm.nih.gov/pmc/blobs/a98e/5556338/272259dc93b8/13287_2017_641_Fig8_HTML.jpg
https://cdn.ncbi.nlm.nih.gov/pmc/blobs/a98e/5556338/74ff0f995217/13287_2017_641_Fig1_HTML.jpg
https://cdn.ncbi.nlm.nih.gov/pmc/blobs/a98e/5556338/74c64b3548dd/13287_2017_641_Fig2_HTML.jpg
https://cdn.ncbi.nlm.nih.gov/pmc/blobs/a98e/5556338/fd61cdf3294f/13287_2017_641_Fig3_HTML.jpg
https://cdn.ncbi.nlm.nih.gov/pmc/blobs/a98e/5556338/53c28724117b/13287_2017_641_Fig4_HTML.jpg
https://cdn.ncbi.nlm.nih.gov/pmc/blobs/a98e/5556338/08e7b7b89e25/13287_2017_641_Fig5_HTML.jpg
https://cdn.ncbi.nlm.nih.gov/pmc/blobs/a98e/5556338/e94c008645ac/13287_2017_641_Fig6_HTML.jpg
https://cdn.ncbi.nlm.nih.gov/pmc/blobs/a98e/5556338/680263fb5376/13287_2017_641_Fig7_HTML.jpg
https://cdn.ncbi.nlm.nih.gov/pmc/blobs/a98e/5556338/272259dc93b8/13287_2017_641_Fig8_HTML.jpg

相似文献

1
Overexpression of miR-21 in stem cells improves ovarian structure and function in rats with chemotherapy-induced ovarian damage by targeting PDCD4 and PTEN to inhibit granulosa cell apoptosis.干细胞中miR-21的过表达通过靶向PDCD4和PTEN抑制颗粒细胞凋亡,改善化疗诱导的卵巢损伤大鼠的卵巢结构和功能。
Stem Cell Res Ther. 2017 Aug 14;8(1):187. doi: 10.1186/s13287-017-0641-z.
2
Heat shock pretreatment of mesenchymal stem cells for inhibiting the apoptosis of ovarian granulosa cells enhanced the repair effect on chemotherapy-induced premature ovarian failure.热休克预处理间充质干细胞抑制卵巢颗粒细胞凋亡增强化疗诱导的卵巢早衰修复作用。
Stem Cell Res Ther. 2018 Sep 26;9(1):240. doi: 10.1186/s13287-018-0964-4.
3
MicroRNA-16 Promotes Ovarian Granulosa Cell Proliferation and Suppresses Apoptosis Through Targeting PDCD4 in Polycystic Ovarian Syndrome.微小RNA-16通过靶向多囊卵巢综合征中的程序性细胞死亡蛋白4促进卵巢颗粒细胞增殖并抑制细胞凋亡。
Cell Physiol Biochem. 2018;48(2):670-682. doi: 10.1159/000491894. Epub 2018 Jul 19.
4
Bone marrow mesenchymal stem cell-derived exosomal miR-144-5p improves rat ovarian function after chemotherapy-induced ovarian failure by targeting PTEN.骨髓间充质干细胞来源的外泌体 miR-144-5p 通过靶向 PTEN 改善化疗诱导卵巢早衰大鼠的卵巢功能。
Lab Invest. 2020 Mar;100(3):342-352. doi: 10.1038/s41374-019-0321-y. Epub 2019 Sep 19.
5
[Placental mesenchymal stem cell exosome-derived miR-139-5p regulates PTEN gene and influences chemotherapeutic-induced ovarian dysfunction].[胎盘间充质干细胞外泌体来源的miR-139-5p调控PTEN基因并影响化疗诱导的卵巢功能障碍]
Zhonghua Fu Chan Ke Za Zhi. 2024 Sep 25;59(9):710-718. doi: 10.3760/cma.j.cn112141-20240419-00228.
6
miR-126-3p containing exosomes derived from human umbilical cord mesenchymal stem cells promote angiogenesis and attenuate ovarian granulosa cell apoptosis in a preclinical rat model of premature ovarian failure.来源于人脐带间充质干细胞的含有 miR-126-3p 的外泌体可促进血管生成并减轻早发性卵巢功能衰竭的临床前大鼠模型中的卵巢颗粒细胞凋亡。
Stem Cell Res Ther. 2022 Jul 26;13(1):352. doi: 10.1186/s13287-022-03056-y.
7
Bone marrow mesenchymal stem cell transplantation improves ovarian function and structure in rats with chemotherapy-induced ovarian damage.骨髓间充质干细胞移植可改善化疗所致卵巢损伤大鼠的卵巢功能和结构。
Cytotherapy. 2008;10(4):353-63. doi: 10.1080/14653240802035926.
8
Clusterin-carrying extracellular vesicles derived from human umbilical cord mesenchymal stem cells restore the ovarian function of premature ovarian failure mice through activating the PI3K/AKT pathway.由人脐带间充质干细胞衍生的携带簇集蛋白的细胞外囊泡通过激活 PI3K/AKT 通路恢复卵巢早衰小鼠的卵巢功能。
Stem Cell Res Ther. 2024 Sep 13;15(1):300. doi: 10.1186/s13287-024-03926-7.
9
Downregulated microRNA-32 expression induced by high glucose inhibits cell cycle progression via PTEN upregulation and Akt inactivation in bone marrow-derived mesenchymal stem cells.高糖诱导的 microRNA-32 表达下调通过上调 PTEN 和抑制 Akt 活性抑制骨髓间充质干细胞的细胞周期进程。
Biochem Biophys Res Commun. 2013 Apr 19;433(4):526-31. doi: 10.1016/j.bbrc.2013.03.018. Epub 2013 Mar 21.
10
Human Umbilical Cord Mesenchymal Stem Cells Improve Ovarian Function in Chemotherapy-Induced Premature Ovarian Failure Mice Through Inhibiting Apoptosis and Inflammation via a Paracrine Mechanism.人脐带间充质干细胞通过旁分泌机制抑制细胞凋亡和炎症,改善化疗诱导的卵巢早衰小鼠的卵巢功能。
Reprod Sci. 2021 Jun;28(6):1718-1732. doi: 10.1007/s43032-021-00499-1. Epub 2021 Mar 9.

引用本文的文献

1
Engineered exosomes: a promising design platform for overcoming cancer therapy resistance.工程化外泌体:一种克服癌症治疗耐药性的有前景的设计平台。
Front Cell Dev Biol. 2025 Aug 6;13:1608480. doi: 10.3389/fcell.2025.1608480. eCollection 2025.
2
Potential MiRNA therapies for premature ovarian failure: new challenges and opportunities.针对卵巢早衰的潜在微小RNA疗法:新挑战与新机遇
Stem Cell Res Ther. 2025 Jul 15;16(1):364. doi: 10.1186/s13287-025-04514-z.
3
MiR-126 regulates the effect of mesenchymal stem cell vascular repair on carotid atherosclerosis through MAPK/ERK signaling pathway.

本文引用的文献

1
Mesenchymal stromal cells in spinal fusion: Current and future applications.脊髓融合术中的间充质基质细胞:当前与未来的应用
J Orthop. 2016 Oct 25;14(1):1-3. doi: 10.1016/j.jor.2016.10.010. eCollection 2017 Mar.
2
Mesenchymal stem cells in cardiac regeneration: a detailed progress report of the last 6 years (2010-2015).心脏再生中的间充质干细胞:过去6年(2010 - 2015年)的详细进展报告
Stem Cell Res Ther. 2016 Jun 4;7(1):82. doi: 10.1186/s13287-016-0341-0.
3
Role and mechanism of microRNA-21 in H2O2-induced apoptosis in bone marrow mesenchymal stem cells.
微小RNA-126通过丝裂原活化蛋白激酶/细胞外信号调节激酶信号通路调控间充质干细胞血管修复对颈动脉粥样硬化的影响。
World J Stem Cells. 2025 Jun 26;17(6):106520. doi: 10.4252/wjsc.v17.i6.106520.
4
Adult-onset hypothyroidism induces granulosa cell apoptosis and affects ovarian follicle development in rats.成年期甲状腺功能减退症可诱导大鼠颗粒细胞凋亡并影响卵巢卵泡发育。
Front Cell Dev Biol. 2025 May 30;13:1610694. doi: 10.3389/fcell.2025.1610694. eCollection 2025.
5
Non-coding RNA-mediated granulosa cell dysfunction during ovarian aging: From mechanisms to potential interventions.非编码RNA介导的卵巢衰老过程中的颗粒细胞功能障碍:从机制到潜在干预措施。
Noncoding RNA Res. 2025 Mar 3;12:102-115. doi: 10.1016/j.ncrna.2025.03.001. eCollection 2025 Jun.
6
Exploring miR-21 Knock-Out Using CRISPR/Cas as a Treatment for Lung Cancer.探索使用CRISPR/Cas敲除miR-21作为肺癌的一种治疗方法。
Genes (Basel). 2025 Jan 24;16(2):133. doi: 10.3390/genes16020133.
7
MicroRNA-21 Promotes the Viability, Proliferation and Milk Fat Synthesis of Ovine Mammary Epithelial Cells by Targeting .微小RNA-21通过靶向……促进绵羊乳腺上皮细胞的活力、增殖和乳脂肪合成
Int J Mol Sci. 2025 Feb 10;26(4):1460. doi: 10.3390/ijms26041460.
8
Engineered Extracellular Vesicles as a New Class of Nanomedicine.工程化细胞外囊泡作为一类新型纳米药物。
Chem Bio Eng. 2024 Oct 28;2(1):3-22. doi: 10.1021/cbe.4c00122. eCollection 2025 Jan 23.
9
Human urine stem cells protect against cyclophosphamide-induced premature ovarian failure by inhibiting SLC1A4-mediated outflux of intracellular serine in ovarian granulosa cells.人尿干细胞通过抑制卵巢颗粒细胞中SLC1A4介导的细胞内丝氨酸外流,预防环磷酰胺诱导的卵巢早衰。
Cell Mol Biol Lett. 2025 Feb 19;30(1):21. doi: 10.1186/s11658-025-00701-1.
10
Sustained release of miR-21 carried by mesenchymal stem cell-derived exosomes from GelMA microspheres inhibits ovarian granulosa cell apoptosis in premature ovarian insufficiency.间充质干细胞来源的外泌体携带的miR-21从GelMA微球中持续释放可抑制卵巢早衰中卵巢颗粒细胞的凋亡。
Mater Today Bio. 2025 Jan 8;31:101469. doi: 10.1016/j.mtbio.2025.101469. eCollection 2025 Apr.
微小RNA-21在过氧化氢诱导的骨髓间充质干细胞凋亡中的作用及机制
J Clin Neurosci. 2016 May;27:154-60. doi: 10.1016/j.jocn.2015.07.029. Epub 2016 Jan 22.
4
Characterization and effects of miR-21 expression in esophageal cancer.食管癌中miR-21表达的特征及影响
Genet Mol Res. 2015 Aug 3;14(3):8810-8. doi: 10.4238/2015.August.3.4.
5
Long-term health consequences of premature or early menopause and considerations for management.过早绝经或早发性绝经的长期健康后果及管理考量
Climacteric. 2015;18(4):483-91. doi: 10.3109/13697137.2015.1020484. Epub 2015 Apr 7.
6
Mouse Ovarian Very Small Embryonic-Like Stem Cells Resist Chemotherapy and Retain Ability to Initiate Oocyte-Specific Differentiation.小鼠卵巢类胚胎极小型干细胞具有化疗抗性并保留启动卵母细胞特异性分化的能力。
Reprod Sci. 2015 Jul;22(7):884-903. doi: 10.1177/1933719115576727. Epub 2015 Mar 16.
7
Premature ovarian failure: clinical presentation and treatment.卵巢早衰:临床表现与治疗
Obstet Gynecol Clin North Am. 2015 Mar;42(1):153-61. doi: 10.1016/j.ogc.2014.10.004.
8
MiR-21 up-regulation mediates glioblastoma cancer stem cells apoptosis and proliferation by targeting FASLG.微小RNA-21的上调通过靶向FASLG介导胶质母细胞瘤癌症干细胞的凋亡和增殖。
Mol Biol Rep. 2015 Mar;42(3):721-7. doi: 10.1007/s11033-014-3820-3. Epub 2014 Nov 14.
9
The PDCD4/miR-21 pathway in medullary thyroid carcinoma.甲状腺髓样癌中的PDCD4/miR-21信号通路
Hum Pathol. 2015 Jan;46(1):50-7. doi: 10.1016/j.humpath.2014.09.006. Epub 2014 Oct 2.
10
Prevention of chemotherapy-induced ovarian damage: possible roles for hormonal and non-hormonal attenuating agents.预防化疗引起的卵巢损伤:激素和非激素衰减剂的可能作用。
Hum Reprod Update. 2014 Sep-Oct;20(5):759-74. doi: 10.1093/humupd/dmu019. Epub 2014 May 15.