Xiang Kui, Wang Wen, Qiu Rongbo, Mei Deqing, Chen Zichen
Key Laboratory of Advanced Manufacturing Technology of Zhejiang Province, College of Mechanical Engineering, Zhejiang University, Hangzhou 310027, China.
School of Mechanical Engineering, Hangzhou Dianzi University, Hangzhou 310018, China.
Sensors (Basel). 2017 Aug 28;17(9):1975. doi: 10.3390/s17091975.
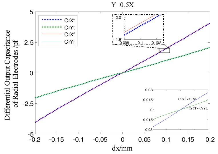
The precision spindle is a core component of high-precision machine tools, and the accurate measurement of its error motions is important for improving its rotation accuracy as well as the work performance of the machine. This paper presents a T-type capacitive sensor (T-type CS) with an integrated structure. The proposed sensor can measure the 5-degree-of-freedom (5-DOF) error motions of a spindle in-situ and simultaneously by integrating electrode groups in the cylindrical bore of the stator and the outer end face of its flange, respectively. Simulation analysis and experimental results show that the sensing electrode groups with differential measurement configuration have near-linear output for the different types of rotor displacements. What's more, the additional capacitance generated by fringe effects has been reduced about 90% with the sensing electrode groups fabricated based on flexible printed circuit board (FPCB) and related processing technologies. The improved signal processing circuit has also been increased one times in the measuring performance and makes the measured differential output capacitance up to 93% of the theoretical values.
精密主轴是高精度机床的核心部件,精确测量其误差运动对于提高其旋转精度以及机床的工作性能至关重要。本文提出了一种具有集成结构的T型电容式传感器(T型CS)。所提出的传感器通过分别在定子的圆柱孔和其法兰的外端面上集成电极组,能够原位同时测量主轴的五自由度(5-DOF)误差运动。仿真分析和实验结果表明,具有差分测量配置的传感电极组对于不同类型的转子位移具有近似线性输出。此外,基于柔性印刷电路板(FPCB)及相关加工技术制造的传感电极组,边缘效应产生的附加电容已降低约90%。改进后的信号处理电路在测量性能上也提高了一倍,使测量的差分输出电容达到理论值的93%。