Shahidullah Mohammad, Mandal Amritlal, Delamere Nicholas A
Department of Physiology, University of Arizona, Tucson, Arizona, United States.
Department of Ophthalmology & Vision Science, University of Arizona, Tucson, Arizona, United States.
Invest Ophthalmol Vis Sci. 2017 Sep 1;58(11):4447-4456. doi: 10.1167/iovs.17-21600.
Na,K-ATPase activity in lens epithelium is subject to control by Src family tyrosine kinases (SFKs). Previously we showed hyposmotic solution causes an SFK-dependent increase in Na,K-ATPase activity in the epithelium. Here we explored the role of cAMP in the signaling mechanism responsible for the SFK and Na,K-ATPase response.
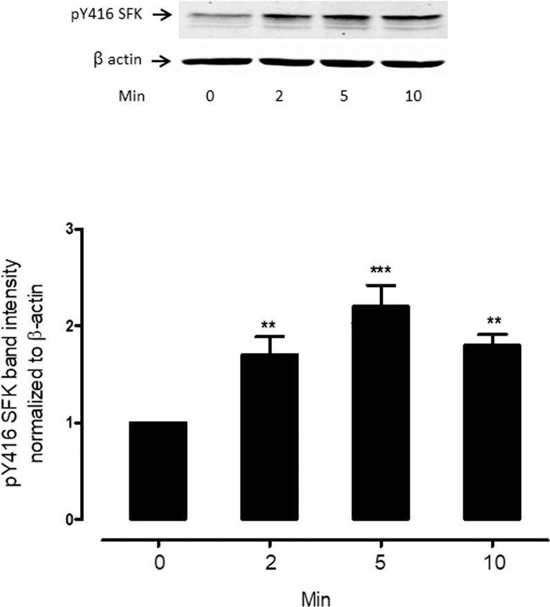
Intact porcine lenses were exposed to hyposmotic Krebs solution (200 mOsm) then the epithelium was assayed for cAMP, SFK phosphorylation (activation) or Na,K-ATPase activity.
An increase of cAMP was observed in the epithelium of lenses exposed to hyposmotic solution. In lenses exposed to hyposmotic solution SFK phosphorylation in the epithelium approximately doubled as did Na,K-ATPase activity and both responses were prevented by H89, a protein kinase A inhibitor. The magnitude of the SFK response to hyposmotic solution was reduced by a TRPV4 antagonist HC067047 added to prevent TRPV4-mediated calcium entry, and by a cytoplasmic Ca2+ chelator BAPTA-AM. The Na,K-ATPase activity response in the epithelium of lenses exposed to hyposmotic solution was abolished by BAPTA-AM. As a direct test of cAMP-dependent SFK activation, intact lenses were exposed to 8-pCPT-cAMP, a cell-permeable cAMP analog. 8-pCPT-cAMP caused robust SFK activation. Using Western blot, two calcium-activated adenylyl cyclases, ADCY3 and ADCY8, were detected in lens epithelium.
Calcium-activated adenylyl cyclases are expressed in the lens epithelium and SFK activation is linked to a rise of cAMP that occurs upon hyposmotic challenge. The findings point to cAMP as a link between TRPV4 channel-mediated calcium entry, SFK activation, and a subsequent increase of Na,K-ATPase activity.
晶状体上皮中的钠钾ATP酶活性受Src家族酪氨酸激酶(SFK)调控。此前我们发现低渗溶液可导致上皮细胞中钠钾ATP酶活性依赖SFK增加。在此,我们探讨了环磷酸腺苷(cAMP)在负责SFK和钠钾ATP酶反应的信号传导机制中的作用。
将完整的猪晶状体暴露于低渗的 Krebs 溶液(200 毫渗量浓度)中,然后检测上皮细胞中的 cAMP、SFK 磷酸化(激活)或钠钾ATP酶活性。
在暴露于低渗溶液的晶状体上皮中观察到 cAMP 增加。在暴露于低渗溶液的晶状体中,上皮细胞中的 SFK 磷酸化增加了约一倍,钠钾ATP酶活性也是如此,而这两种反应均被蛋白激酶 A 抑制剂 H89 阻断。添加 TRPV4 拮抗剂 HC067047 以防止 TRPV4 介导的钙内流,以及使用细胞质钙螯合剂 BAPTA-AM,均可降低 SFK 对低渗溶液的反应幅度。BAPTA-AM 消除了暴露于低渗溶液的晶状体上皮中的钠钾ATP酶活性反应。作为对 cAMP 依赖性 SFK 激活的直接测试,将完整的晶状体暴露于 8-pCPT-cAMP(一种可透过细胞的 cAMP 类似物)中。8-pCPT-cAMP 引起了强烈的 SFK 激活。使用蛋白质印迹法,在晶状体上皮中检测到两种钙激活腺苷酸环化酶,即 ADCY3 和 ADCY8。
钙激活腺苷酸环化酶在晶状体上皮中表达,并且 SFK 激活与低渗刺激时发生的 cAMP 升高有关。这些发现表明 cAMP 是 TRPV4 通道介导钙内流、SFK 激活以及随后钠钾ATP酶活性增加之间的联系。