Suppr超能文献

强关联电子液体中的无序与两种输运寿命。

Disorder versus two transport lifetimes in a strongly correlated electron liquid.

机构信息

Materials Department, University of California, Santa Barbara, CA, 93106-5050, USA.

出版信息

Sci Rep. 2017 Sep 4;7(1):10312. doi: 10.1038/s41598-017-10841-w.

Abstract

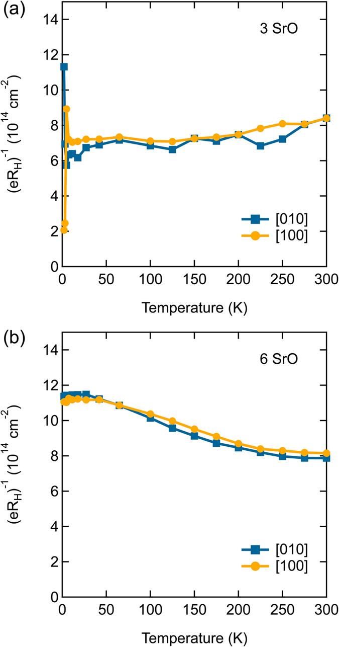
We report on angle-dependent measurements of the sheet resistances and Hall coefficients of electron liquids in SmTiO/SrTiO/SmTiO quantum well structures, which were grown by molecular beam epitaxy on (001) DyScO. We compare their transport properties with those of similar structures grown on LSAT [(LaSr)(AlTa)O]. On DyScO, planar defects normal to the quantum wells lead to a strong in-plane anisotropy in the transport properties. This allows for quantifying the role of defects in transport. In particular, we investigate differences in the longitudinal and Hall scattering rates, which is a non-Fermi liquid phenomenon known as lifetime separation. The residuals in both the longitudinal resistance and Hall angle were found to depend on the relative orientations of the transport direction to the planar defects. The Hall angle exhibited a robust T temperature dependence along all directions, whereas no simple power law could describe the temperature dependence of the longitudinal resistances. Remarkably, the degree of the carrier lifetime separation, as manifested in the distinctly different temperature dependences and diverging residuals near a critical quantum well thickness, was completely insensitive to disorder. The results allow for a clear distinction between disorder-induced contributions to the transport and intrinsic, non-Fermi liquid phenomena, which includes the lifetime separation.

摘要

我们报告了在 SmTiO/SrTiO/SmTiO 量子阱结构中电子液体的面电阻和 Hall 系数的角度依赖性测量结果,这些结构是通过分子束外延在(001)DyScO 上生长的。我们将它们的传输特性与在 LSAT[(LaSr)(AlTa)O]上生长的类似结构进行了比较。在 DyScO 上,垂直于量子阱的平面缺陷导致传输特性具有强烈的面内各向异性。这使得可以量化缺陷在传输中的作用。特别是,我们研究了纵向和 Hall 散射率的差异,这是一种称为寿命分离的非费米液体现象。发现纵向电阻和 Hall 角的残余值都取决于传输方向相对于平面缺陷的相对取向。Hall 角在所有方向上均表现出稳健的 T 温度依赖性,而纵向电阻的温度依赖性不能用简单的幂律来描述。值得注意的是,载流子寿命分离的程度,如在临界量子阱厚度附近明显不同的温度依赖性和发散残余值所示,对无序完全不敏感。这些结果可以清楚地区分传输中的无序诱导贡献和内在的非费米液体现象,包括寿命分离。

https://cdn.ncbi.nlm.nih.gov/pmc/blobs/0b78/5583181/490ddf635d3b/41598_2017_10841_Fig1_HTML.jpg

文献AI研究员

20分钟写一篇综述,助力文献阅读效率提升50倍。

立即体验

用中文搜PubMed

大模型驱动的PubMed中文搜索引擎

马上搜索

文档翻译

学术文献翻译模型,支持多种主流文档格式。

立即体验