• 文献检索
  • 文档翻译
  • 深度研究
  • 学术资讯
  • Suppr Zotero 插件Zotero 插件
  • 邀请有礼
  • 套餐&价格
  • 历史记录
应用&插件
Suppr Zotero 插件Zotero 插件浏览器插件Mac 客户端Windows 客户端微信小程序
定价
高级版会员购买积分包购买API积分包
服务
文献检索文档翻译深度研究API 文档MCP 服务
关于我们
关于 Suppr公司介绍联系我们用户协议隐私条款
关注我们

Suppr 超能文献

核心技术专利:CN118964589B侵权必究
粤ICP备2023148730 号-1Suppr @ 2026

文献检索

告别复杂PubMed语法,用中文像聊天一样搜索,搜遍4000万医学文献。AI智能推荐,让科研检索更轻松。

立即免费搜索

文件翻译

保留排版,准确专业,支持PDF/Word/PPT等文件格式,支持 12+语言互译。

免费翻译文档

深度研究

AI帮你快速写综述,25分钟生成高质量综述,智能提取关键信息,辅助科研写作。

立即免费体验

基于臂围、身高和身体体型估算伊斯法罕2至24个月儿童体重的结果与布罗泽洛估算体重的比较研究。

A Comparative Study on the Results of Estimating Children's Weights Based on Arm Circumference, Height, and Body Habitus against Estimated Weight Broselow on 2-24 Months Children in Isfahan.

作者信息

Nasr-Esfahani Mohammad, Nemati Sirous, Masoumi Babak, Eshaghiandorche Azam, Jangjoo Ali Akbar

机构信息

Department of Emergency Medicine, Isfahan University of Medical Sciences, Isfahan, Iran.

Department of Nursing, Shahid Beheshti University of Medical Sciences, Isfahan, Iran.

出版信息

Adv Biomed Res. 2017 Aug 28;6:104. doi: 10.4103/abr.abr_171_16. eCollection 2017.

DOI:10.4103/abr.abr_171_16
PMID:28904932
原文链接:https://pmc.ncbi.nlm.nih.gov/articles/PMC5590395/
Abstract

BACKGROUND

Resuscitation of children in different treatment wards is a challenge. Given that the pediatric drug dosing is based on weight and weighing is not practical in emergency situations, it is critical to employ a fast, easy, and reliable technique. Hence, this study attempted to evaluate the real weight children against Broselow estimation.

MATERIALS AND METHODS

This cross-sectional study involved 1500 children of 2-24 months referred to Isfahan urban and rural health centers in 2015. Children's estimated weights were measured based on the standard Broselow tape and real weights through a digital scale. The factors such as age, sex, height, arm circumference, head circumference, and living place of children were recorded. The collected data were analyzed through independent -test, ANOVA, and linear regression using SPSS (version 20).

RESULTS

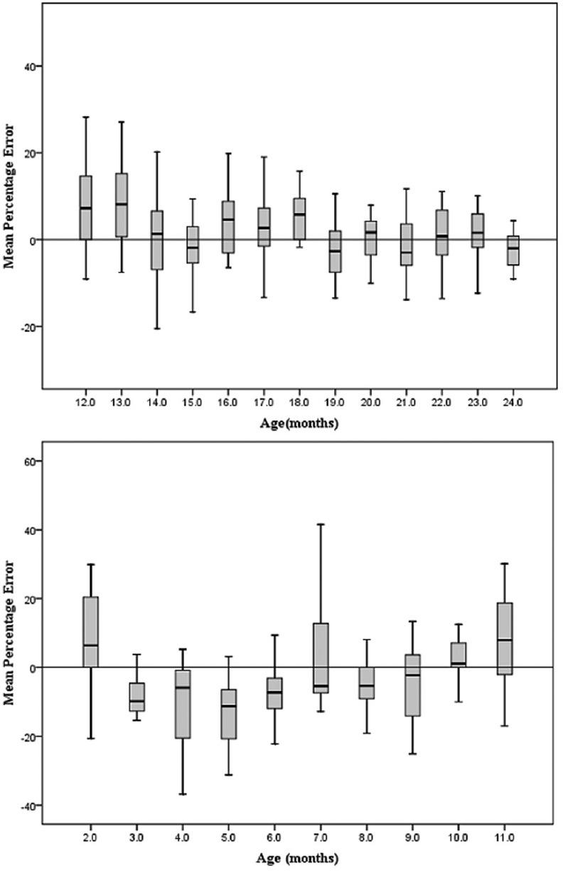
The weight difference of children through Broselow estimation was 0.019 kg, and the correlation coefficient was 0.893 ( > 0.05). The difference sorted by age ranges was significant only in >12 months ( < 0.05). It was estimated at error of 10% to be 68.9% correctly. The mean weight estimation error was significant sorted by weight, sex, habitus, and living place of children ( < 0.001).

CONCLUSION

Although Broselow tape has been proved to be accurate it led to a significant error at different age ranges. Hence, the present study estimated the age, arm circumference, and height of Iranian children based on new formulas providing more successful tool through controlling the confounding factors in estimating the real weight.

摘要

背景

在不同治疗病房对儿童进行复苏是一项挑战。鉴于儿科药物剂量是基于体重计算的,而在紧急情况下称重并不实际,因此采用一种快速、简便且可靠的技术至关重要。因此,本研究试图将儿童的实际体重与布罗泽洛估计法进行比较评估。

材料与方法

这项横断面研究纳入了2015年转诊至伊斯法罕城乡卫生中心的1500名2至24个月大的儿童。根据标准布罗泽洛测量带测量儿童的估计体重,并通过数字秤测量实际体重。记录儿童的年龄、性别、身高、臂围、头围和居住地点等因素。使用SPSS(版本20)通过独立样本t检验、方差分析和线性回归对收集的数据进行分析。

结果

通过布罗泽洛估计法得出的儿童体重差异为0.019千克,相关系数为0.893(P>0.05)。按年龄范围分类的差异仅在大于12个月时具有统计学意义(P<0.05)。估计误差为10%时正确估计率为68.9%。按儿童体重、性别、体型和居住地点分类的平均体重估计误差具有统计学意义(P<0.001)。

结论

尽管布罗泽洛测量带已被证明是准确的,但在不同年龄范围会导致显著误差。因此,本研究基于新公式估计了伊朗儿童的年龄、臂围和身高,通过控制估计实际体重时的混杂因素提供了更有效的工具。

https://cdn.ncbi.nlm.nih.gov/pmc/blobs/63bf/5590395/034b862c65e1/ABR-6-104-g003.jpg
https://cdn.ncbi.nlm.nih.gov/pmc/blobs/63bf/5590395/034b862c65e1/ABR-6-104-g003.jpg
https://cdn.ncbi.nlm.nih.gov/pmc/blobs/63bf/5590395/034b862c65e1/ABR-6-104-g003.jpg

相似文献

1
A Comparative Study on the Results of Estimating Children's Weights Based on Arm Circumference, Height, and Body Habitus against Estimated Weight Broselow on 2-24 Months Children in Isfahan.基于臂围、身高和身体体型估算伊斯法罕2至24个月儿童体重的结果与布罗泽洛估算体重的比较研究。
Adv Biomed Res. 2017 Aug 28;6:104. doi: 10.4103/abr.abr_171_16. eCollection 2017.
2
Accuracy of Broselow tape in estimating the weight of the child for management of pediatric emergencies in Nepalese population.布罗泽洛卷尺在估算尼泊尔人群儿科急诊患儿体重中的准确性。
Int J Emerg Med. 2020 Feb 12;13(1):9. doi: 10.1186/s12245-020-0269-0.
3
Accuracy of the Broselow Tape in South Sudan, "The Hungriest Place on Earth".布罗泽洛卷尺在“地球上最饥饿的地方”南苏丹的准确性。
Acad Emerg Med. 2016 Jan;23(1):21-8. doi: 10.1111/acem.12854. Epub 2015 Dec 15.
4
Validity of Broselow tape for estimating weight of Indian children.布罗泽洛卷尺用于估算印度儿童体重的有效性。
Indian J Med Res. 2017 Mar;145(3):339-346. doi: 10.4103/ijmr.IJMR_837_14.
5
Weight estimation in Paediatrics: how accurate is the Broselow-tape weight estimation in the Nigerian child.儿科体重估计:尼日利亚儿童的 Broselow 带体重估计有多准确。
Ital J Pediatr. 2019 Nov 19;45(1):146. doi: 10.1186/s13052-019-0744-5.
6
An Indian pediatric emergency weight estimation tool: prospective adjustment of the Broselow tape.一种印度儿科急诊体重估计工具:布罗泽洛卷尺的前瞻性调整
Int J Emerg Med. 2015 Dec;8(1):78. doi: 10.1186/s12245-015-0078-z. Epub 2015 Aug 4.
7
The Broselow and Handtevy Resuscitation Tapes: A Comparison of the Performance of Pediatric Weight Prediction.布罗泽洛和手部复苏带:小儿体重预测性能的比较
Prehosp Disaster Med. 2016 Aug;31(4):364-75. doi: 10.1017/S1049023X16000455. Epub 2016 May 25.
8
Validity of Broselow tape for estimating the weight of children in pediatric emergency: A cross-sectional study.布罗泽洛卷尺在儿科急诊中估算儿童体重的有效性:一项横断面研究。
Front Pediatr. 2022 Aug 16;10:969016. doi: 10.3389/fped.2022.969016. eCollection 2022.
9
The PAWPER tape as a tool for rapid weight assessment in a Paediatric Emergency Department: Validation study and comparison with parents' estimation and Broselow tape.PAWPER卷尺作为儿科急诊科快速体重评估工具:验证研究及与家长估计值和布罗泽洛卷尺的比较
Resusc Plus. 2022 Sep 15;12:100301. doi: 10.1016/j.resplu.2022.100301. eCollection 2022 Dec.
10
Accuracy of weight estimation methods for children.儿童体重估计方法的准确性。
Pediatr Emerg Care. 2007 Apr;23(4):227-30. doi: 10.1097/PEC.0b013e31803f5aca.

本文引用的文献

1
Size does matter--age-related weight estimation in "tall n' thin" and "tiny n' thick" children and a new habitus-adapted alternative to the EPLS-formula.身材很重要——“高瘦型”和“矮胖型”儿童的年龄相关体重估计以及一种新的适应体型的替代儿童生长曲线方程(EPLS)公式的方法。
Resuscitation. 2014 Sep;85(9):1174-8. doi: 10.1016/j.resuscitation.2014.04.032. Epub 2014 Jun 2.
2
Estimation of body weight in children in the absence of scales: a necessary measurement to insure accurate drug dosing.在没有秤的情况下估算儿童体重:确保准确给药剂量的必要测量方法。
Arch Dis Child. 2014 Jun;99(6):570-4. doi: 10.1136/archdischild-2013-305211. Epub 2014 Feb 26.
3
A comparison of actual to estimated weights in Australian children attending a tertiary children's' hospital, using the original and updated APLS, Luscombe and Owens, Best Guess formulae and the Broselow tape.
比较在一家三级儿童医院就诊的澳大利亚儿童的实际体重和估计体重,使用原始和更新的APLS、Luscombe 和 Owens、最佳猜测公式以及 Broselow 胶带。
Resuscitation. 2014 Mar;85(3):392-6. doi: 10.1016/j.resuscitation.2013.11.024. Epub 2013 Dec 7.
4
Evaluation of the Mercy TAPE: performance against the standard for pediatric weight estimation.评估 Mercy TAPE:在儿科体重估计方面的表现与标准的对比。
Ann Emerg Med. 2013 Oct;62(4):332-339.e6. doi: 10.1016/j.annemergmed.2013.02.021. Epub 2013 Apr 17.
5
The PAWPER tape: A new concept tape-based device that increases the accuracy of weight estimation in children through the inclusion of a modifier based on body habitus.PAWPER 胶带:一种新型基于胶带的设备,通过包含基于身体形态的修正值,提高了儿童体重估计的准确性。
Resuscitation. 2013 Feb;84(2):227-32. doi: 10.1016/j.resuscitation.2012.05.028. Epub 2012 Jul 13.
6
Accuracy of the Broselow tape in estimating the weight of First Nations children.布罗泽洛卷尺在估算原住民儿童体重方面的准确性。
Can J Rural Med. 2011 Fall;16(4):121-5.
7
Is the Broselow tape a reliable indicator for use in all pediatric trauma patients?: A look at a rural trauma center.布罗泽洛急救带对所有儿科创伤患者而言是可靠的指标吗?:以一家农村创伤中心为例进行观察。
Pediatr Emerg Care. 2011 Jun;27(6):479-82. doi: 10.1097/PEC.0b013e31821d8559.
8
Comparison of Broselow tape measurements versus physician estimations of pediatric weights.布罗塞洛胶布测量与医师估计儿科体重的比较。
Am J Emerg Med. 2011 Jun;29(5):482-8. doi: 10.1016/j.ajem.2009.12.002. Epub 2010 Apr 2.
9
Best Guess method: a further external validation study and comparison with other methods.最佳猜测法:进一步的外部验证研究及与其他方法的比较。
Emerg Med Australas. 2010 Feb;22(1):68-74. doi: 10.1111/j.1742-6723.2009.01258.x.
10
Evaluation of the accuracy of different methods used to estimate weights in the pediatric population.评估用于估计儿科人群体重的不同方法的准确性。
Pediatrics. 2009 Jun;123(6):e1045-51. doi: 10.1542/peds.2008-1968.