Suppr超能文献

LEDGF/p75基因缺陷增加了HIV-1 cDNA末端的缺失。

LEDGF/p75 Deficiency Increases Deletions at the HIV-1 cDNA Ends.

作者信息

Bueno Murilo T D, Reyes Daniel, Llano Manuel

机构信息

Department of Biological Sciences, University of Texas at El Paso. El Paso, TX 79968, USA.

出版信息

Viruses. 2017 Sep 15;9(9):259. doi: 10.3390/v9090259.

Abstract

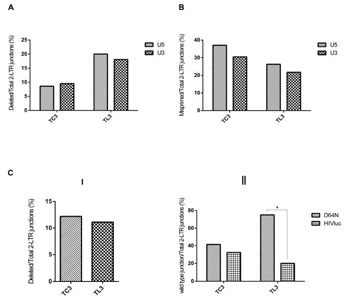
Processing of unintegrated linear HIV-1 cDNA by the host DNA repair system results in its degradation and/or circularization. As a consequence, deficient viral cDNA integration generally leads to an increase in the levels of HIV-1 cDNA circles containing one or two long terminal repeats (LTRs). Intriguingly, impaired HIV-1 integration in LEDGF/p75-deficient cells does not result in a correspondent increase in viral cDNA circles. We postulate that increased degradation of unintegrated linear viral cDNA in cells lacking the lens epithelium-derived growth factor (LEDGF/p75) account for this inconsistency. To evaluate this hypothesis, we characterized the nucleotide sequence spanning 2-LTR junctions isolated from LEDGF/p75-deficient and control cells. LEDGF/p75 deficiency resulted in a significant increase in the frequency of 2-LTRs harboring large deletions. Of note, these deletions were dependent on the 3' processing activity of integrase and were not originated by aberrant reverse transcription. Our findings suggest a novel role of LEDGF/p75 in protecting the unintegrated 3' processed linear HIV-1 cDNA from exonucleolytic degradation.

摘要

宿主DNA修复系统对未整合的线性HIV-1 cDNA进行加工会导致其降解和/或环化。因此,病毒cDNA整合缺陷通常会导致含有一个或两个长末端重复序列(LTR)的HIV-1 cDNA环水平升高。有趣的是,在缺乏LEDGF/p75的细胞中,HIV-1整合受损并不会导致病毒cDNA环相应增加。我们推测,缺乏晶状体上皮衍生生长因子(LEDGF/p75)的细胞中未整合的线性病毒cDNA降解增加是造成这种不一致的原因。为了评估这一假设,我们对从LEDGF/p75缺陷细胞和对照细胞中分离出的跨越2-LTR连接点的核苷酸序列进行了表征。LEDGF/p75缺陷导致含有大缺失的2-LTR频率显著增加。值得注意的是,这些缺失依赖于整合酶的3'加工活性,并非由异常逆转录产生。我们的研究结果表明LEDGF/p75在保护未整合的3'加工线性HIV-1 cDNA免受核酸外切酶降解方面具有新作用。

https://cdn.ncbi.nlm.nih.gov/pmc/blobs/65cf/5618025/c223b8a2136a/viruses-09-00259-g001.jpg

文献AI研究员

20分钟写一篇综述,助力文献阅读效率提升50倍。

立即体验

用中文搜PubMed

大模型驱动的PubMed中文搜索引擎

马上搜索

文档翻译

学术文献翻译模型,支持多种主流文档格式。

立即体验