Suppr超能文献

Changes in Alternative Splicing as Pharmacodynamic Markers for Sudemycin D6.

作者信息

Thurman Morgan, van Doorn Jacob, Danzer Barbara, Webb Thomas R, Stamm Stefan

机构信息

University of Kentucky, Lexington, KY, USA.

出版信息

Biomark Insights. 2017 Sep 12;12:1177271917730557. doi: 10.1177/1177271917730557. eCollection 2017.

Abstract

OBJECTIVE

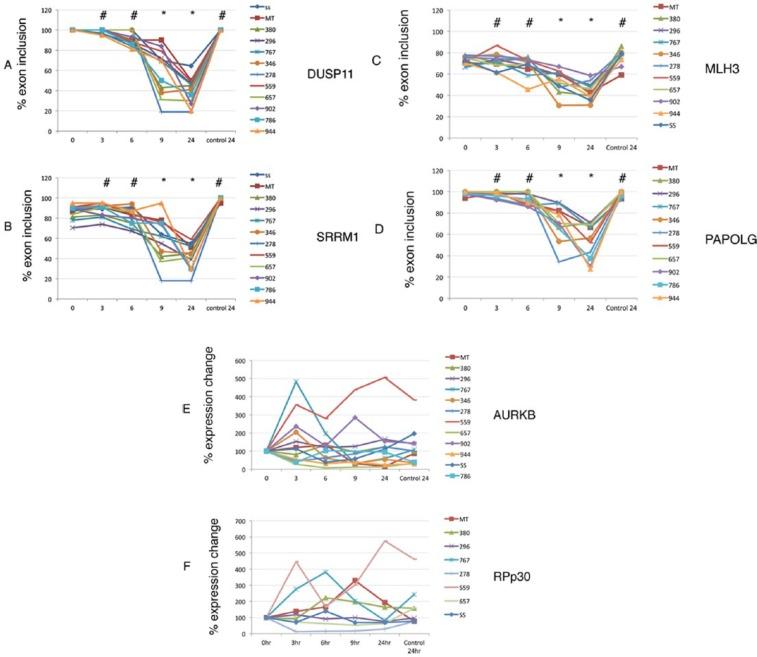
The aim of the study was to define pharmacodynamic markers for sudemycin D6, an experimental cancer drug that changes alternative splicing in human blood.

METHODS

Blood samples from 12 donors were incubated with sudemycin D6 for up to 24 hours, and at several time points total RNA from lymphocytes was prepared and the pre-messenger RNA (mRNA) splicing patterns were analyzed with reverse transcription-polymerase chain reaction.

RESULTS

Similar to immortalized cells, blood lymphocytes change alternative splicing due to sudemycin D6 treatment. However, lymphocytes in blood respond slower than immortalized cultured cells.

CONCLUSIONS

Exon skipping in the and pre-mRNAs are pharmacodynamic markers for sudemycin D6 treatment and show effects beginning at 9 hours after treatment.

摘要
https://cdn.ncbi.nlm.nih.gov/pmc/blobs/1812/5598794/b0987bec1c54/10.1177_1177271917730557-fig1.jpg

文献AI研究员

20分钟写一篇综述,助力文献阅读效率提升50倍。

立即体验

用中文搜PubMed

大模型驱动的PubMed中文搜索引擎

马上搜索

文档翻译

学术文献翻译模型,支持多种主流文档格式。

立即体验