Suppr超能文献

预分析冷冻储存时间和温度对筛选凝血试验和因子 VIII 和 IX 活性的影响。

Effects of preanalytical frozen storage time and temperature on screening coagulation tests and factors VIII and IX activity.

机构信息

Department of Clinical Laboratory, The First Affiliated Hospital, College of Medicine, Zhejiang University, Qingchun Road No. 79, Hangzhou, 310003, China.

Women's Hospital, School of Medicine, Zhejiang University, Xueshi Road No. 1, Hangzhou, 310006, China.

出版信息

Sci Rep. 2017 Sep 22;7(1):12179. doi: 10.1038/s41598-017-11777-x.

Abstract

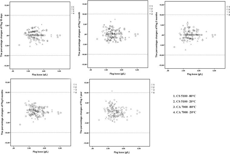
Preanalytical quality control of blood samples is critical for tests of coagulation function and coagulation factor activity. Preanalytical storage time and temperature are the main variables. We investigated the effects of preanalytical frozen storage time and temperature on activated partial thromboplastin time (APTT), fibrinogen (Fbg), prothrombin time (PT)/international normalized ratio (INR), thrombin time (TT), factor VIII activity (FVIII:C), and factor IX activity (FIX:C) in frozen plasma. Samples (n = 144) were randomly and equally divided into four groups (storage at -80 °C or -20 °C) and analysed by CS5100 or CA7000 coagulation analysers. Baseline values and results after storage for 15 days, 1 month, 3 months, 6 months, and 1 year were measured after thawing. Mean percent changes and scatter plots were used to determine clinically relevant differences. The stabilities of coagulation tests and coagulation factor activities measured by the CS5100 system were consistent with those measured by the CA7000 system. At -80 °C, assessment samples of PT/INR, Fbg, and TT can be safely stored for 1 year, APTT for 6 months, and FVIII:C and FIX:C for 1 month. At -20 °C, samples of Fbg and TT can be stored for 1 year, PT/INR and FIX:C for 1 month, and APTT and FVIII:C for 15 days.

摘要

血液样本的分析前质量控制对凝血功能和凝血因子活性测试至关重要。分析前储存时间和温度是主要变量。我们研究了分析前冷冻储存时间和温度对冷冻血浆中活化部分凝血活酶时间(APTT)、纤维蛋白原(Fbg)、凝血酶原时间(PT)/国际标准化比值(INR)、凝血酶时间(TT)、VIII 因子活性(FVIII:C)和 IX 因子活性(FIX:C)的影响。将样本(n=144)随机平均分为四组(-80°C 或-20°C 储存),并使用 CS5100 或 CA7000 凝血分析仪进行分析。在解冻后测量储存 15 天、1 个月、3 个月、6 个月和 1 年后的基础值和结果。使用平均百分比变化和散点图来确定具有临床相关性的差异。CS5100 系统测量的凝血测试和凝血因子活性的稳定性与 CA7000 系统测量的稳定性一致。在-80°C 下,PT/INR、Fbg 和 TT 的评估样本可安全储存 1 年,APTT 可储存 6 个月,FVIII:C 和 FIX:C 可储存 1 个月。在-20°C 下,Fbg 和 TT 的样本可储存 1 年,PT/INR 和 FIX:C 可储存 1 个月,APTT 和 FVIII:C 可储存 15 天。

https://cdn.ncbi.nlm.nih.gov/pmc/blobs/9d30/5610264/f4151e9f4f65/41598_2017_11777_Fig1_HTML.jpg

文献AI研究员

20分钟写一篇综述,助力文献阅读效率提升50倍。

立即体验

用中文搜PubMed

大模型驱动的PubMed中文搜索引擎

马上搜索

文档翻译

学术文献翻译模型,支持多种主流文档格式。

立即体验