• 文献检索
  • 文档翻译
  • 深度研究
  • 学术资讯
  • Suppr Zotero 插件Zotero 插件
  • 邀请有礼
  • 套餐&价格
  • 历史记录
应用&插件
Suppr Zotero 插件Zotero 插件浏览器插件Mac 客户端Windows 客户端微信小程序
定价
高级版会员购买积分包购买API积分包
服务
文献检索文档翻译深度研究API 文档MCP 服务
关于我们
关于 Suppr公司介绍联系我们用户协议隐私条款
关注我们

Suppr 超能文献

核心技术专利:CN118964589B侵权必究
粤ICP备2023148730 号-1Suppr @ 2026

文献检索

告别复杂PubMed语法,用中文像聊天一样搜索,搜遍4000万医学文献。AI智能推荐,让科研检索更轻松。

立即免费搜索

文件翻译

保留排版,准确专业,支持PDF/Word/PPT等文件格式,支持 12+语言互译。

免费翻译文档

深度研究

AI帮你快速写综述,25分钟生成高质量综述,智能提取关键信息,辅助科研写作。

立即免费体验

雌二醇在体外损害唑来膦酸对激素敏感性乳腺癌细胞的抗增殖和促凋亡作用。

Estradiol impairs the antiproliferative and proapoptotic effect of Zoledronic acid in hormone sensitive breast cancer cells in vitro.

作者信息

Gschwantler-Kaulich Daphne, Weingartshofer Sigrid, Grunt Thomas W, Mairhofer Mario, Tan Yen, Gamper Jutta, Singer Christian F

机构信息

Department of Obstetrics and Gynecology, Comprehensive Cancer Center, Medical University of Vienna, Vienna, Austria.

Clinical Division of Oncology, Department of Medicine I, Comprehensive Cancer Center & Ludwig Boltzmann Cluster Oncology, Medical University of Vienna, Vienna, Austria.

出版信息

PLoS One. 2017 Sep 25;12(9):e0185566. doi: 10.1371/journal.pone.0185566. eCollection 2017.

DOI:10.1371/journal.pone.0185566
PMID:28945801
原文链接:https://pmc.ncbi.nlm.nih.gov/articles/PMC5612728/
Abstract

BACKGROUND

Zoledronic acid (ZA) has antiresorptive effects and protects from bone metastasis in women with early breast cancer. In addition, in postmenopausal women with endocrine responsive breast cancer ZA prolongs DFS. The exact mechanism is still unclear. We have therefore investigated the effect of increasing concentrations of ZA in breast cancer cell lines in the absence or presence of estradiol to mimic the hormonal environment in vitro.

MATERIALS AND METHODS

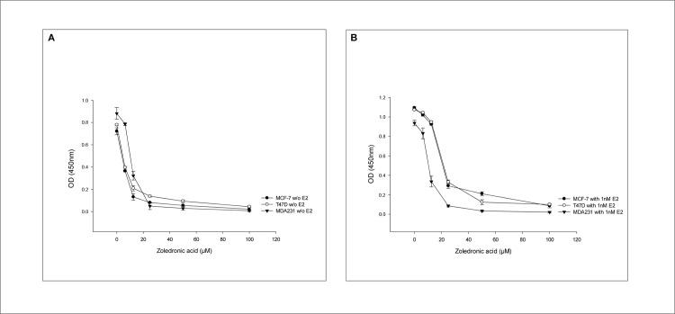
Using assays for cell proliferation (EZ4U, BrdU) and cell death (Annexin/PI), we have analyzed the dose-dependent antiproliferative and pro-apoptotic effects of ZA in two hormone sensitive cell lines (MCF-7 and T47D) and a hormone insensitive, triple negative cell line (MDA-MB-231) in the presence of 0, 1 and 10 nM estradiol.

RESULTS

In the absence of estradiol, ZA exerts dose-dependent antiproliferative and pro-apoptotic antitumor effects in both, hormone sensitive (MCF-7, T47D) and -insensitive (MDA-MB-231) breast cancer cell lines (p<0.0001). In the presence of estradiol, the antitumoral effect of ZA was significantly decreased only in the hormone sensitive MCF-7 and T47D cell lines (p = 0.0008 and p = 0.0008, respectively).

CONCLUSION

We have demonstrated that estradiol impairs the antiproliferative and proapoptotic effect of ZA in hormone sensitive, but not in hormone insensitive breast cancer cell lines. Our findings provide a possible explanation for the differential effect of ZA on DFS in pre- and postmenopausal patients with hormone sensitive early breast cancer, which has been demonstrated clinically. We further hypothesize that endocrine insensitive tumors such as triple negative breast cancer (TNBC) should benefit from ZA irrespective of their menopausal status.

摘要

背景

唑来膦酸(ZA)具有抗骨吸收作用,并可保护早期乳腺癌女性免受骨转移。此外,在内分泌反应性乳腺癌的绝经后女性中,ZA可延长无病生存期(DFS)。确切机制仍不清楚。因此,我们研究了在有无雌二醇的情况下,增加ZA浓度对乳腺癌细胞系的影响,以在体外模拟激素环境。

材料与方法

我们使用细胞增殖检测方法(EZ4U、BrdU)和细胞死亡检测方法(膜联蛋白/碘化丙啶),分析了在0、1和10 nM雌二醇存在的情况下,ZA对两种激素敏感细胞系(MCF-7和T47D)和一种激素不敏感的三阴性细胞系(MDA-MB-231)的剂量依赖性抗增殖和促凋亡作用。

结果

在无雌二醇的情况下,ZA在激素敏感(MCF-7、T47D)和激素不敏感(MDA-MB-231)乳腺癌细胞系中均发挥剂量依赖性抗增殖和促凋亡抗肿瘤作用(p<0.0001)。在有雌二醇的情况下,ZA的抗肿瘤作用仅在激素敏感的MCF-7和T47D细胞系中显著降低(分别为p = 0.0008和p = 0.0008)。

结论

我们已经证明,雌二醇会削弱ZA在激素敏感但非激素不敏感乳腺癌细胞系中的抗增殖和促凋亡作用。我们的研究结果为临床上已证实的ZA对绝经前和绝经后激素敏感早期乳腺癌患者DFS的不同影响提供了一种可能的解释。我们进一步推测,内分泌不敏感肿瘤,如三阴性乳腺癌(TNBC),无论其绝经状态如何,都应从ZA中获益。

https://cdn.ncbi.nlm.nih.gov/pmc/blobs/59cf/5612728/7ac274ef21b0/pone.0185566.g006.jpg
https://cdn.ncbi.nlm.nih.gov/pmc/blobs/59cf/5612728/85b316235feb/pone.0185566.g001.jpg
https://cdn.ncbi.nlm.nih.gov/pmc/blobs/59cf/5612728/5b88e4721cbf/pone.0185566.g002.jpg
https://cdn.ncbi.nlm.nih.gov/pmc/blobs/59cf/5612728/0aeaed9bfb1c/pone.0185566.g003.jpg
https://cdn.ncbi.nlm.nih.gov/pmc/blobs/59cf/5612728/161bd106661a/pone.0185566.g004.jpg
https://cdn.ncbi.nlm.nih.gov/pmc/blobs/59cf/5612728/9bad258ab537/pone.0185566.g005.jpg
https://cdn.ncbi.nlm.nih.gov/pmc/blobs/59cf/5612728/7ac274ef21b0/pone.0185566.g006.jpg
https://cdn.ncbi.nlm.nih.gov/pmc/blobs/59cf/5612728/85b316235feb/pone.0185566.g001.jpg
https://cdn.ncbi.nlm.nih.gov/pmc/blobs/59cf/5612728/5b88e4721cbf/pone.0185566.g002.jpg
https://cdn.ncbi.nlm.nih.gov/pmc/blobs/59cf/5612728/0aeaed9bfb1c/pone.0185566.g003.jpg
https://cdn.ncbi.nlm.nih.gov/pmc/blobs/59cf/5612728/161bd106661a/pone.0185566.g004.jpg
https://cdn.ncbi.nlm.nih.gov/pmc/blobs/59cf/5612728/9bad258ab537/pone.0185566.g005.jpg
https://cdn.ncbi.nlm.nih.gov/pmc/blobs/59cf/5612728/7ac274ef21b0/pone.0185566.g006.jpg

相似文献

1
Estradiol impairs the antiproliferative and proapoptotic effect of Zoledronic acid in hormone sensitive breast cancer cells in vitro.雌二醇在体外损害唑来膦酸对激素敏感性乳腺癌细胞的抗增殖和促凋亡作用。
PLoS One. 2017 Sep 25;12(9):e0185566. doi: 10.1371/journal.pone.0185566. eCollection 2017.
2
The miR-21/PTEN/Akt signaling pathway is involved in the anti-tumoral effects of zoledronic acid in human breast cancer cell lines.miR-21/PTEN/Akt信号通路参与了唑来膦酸对人乳腺癌细胞系的抗肿瘤作用。
Naunyn Schmiedebergs Arch Pharmacol. 2016 May;389(5):529-38. doi: 10.1007/s00210-016-1224-8. Epub 2016 Feb 24.
3
Synergistic suppression of human breast cancer cells by combination of plumbagin and zoledronic acid In vitro.体外实验中,白花丹醌与唑来膦酸联合使用对人乳腺癌细胞的协同抑制作用
Acta Pharmacol Sin. 2015 Sep;36(9):1085-98. doi: 10.1038/aps.2015.42. Epub 2015 Aug 3.
4
Cisplatin in combination with zoledronic acid: a synergistic effect in triple-negative breast cancer cell lines.顺铂联合唑来膦酸:在三阴性乳腺癌细胞系中的协同作用。
Int J Oncol. 2013 Apr;42(4):1263-70. doi: 10.3892/ijo.2013.1809. Epub 2013 Feb 6.
5
Krüppel-like factors KLF2 and 6 and Ki-67 are direct targets of zoledronic acid in MCF-7 cells.Krüppel 样因子 KLF2 和 6 以及 Ki-67 是唑来膦酸在 MCF-7 细胞中的直接靶点。
Bone. 2012 Mar;50(3):723-32. doi: 10.1016/j.bone.2011.11.025. Epub 2011 Dec 7.
6
Treatment persistence with monthly zoledronic acid is associated with lower risk and frequency of skeletal complications in patients with breast cancer and bone metastasis.每月唑来膦酸治疗的持久性与乳腺癌和骨转移患者的骨骼并发症风险和频率降低相关。
Clin Breast Cancer. 2011 Jun;11(3):177-83. doi: 10.1016/j.clbc.2011.03.015. Epub 2011 May 3.
7
Extracellular Ca(2+)-dependent enhancement of cytocidal potency of zoledronic acid in human oral cancer cells.细胞外钙离子依赖性增强唑来膦酸对人口腔癌细胞的杀伤效力
Eur J Pharmacol. 2015 Aug 15;761:44-54. doi: 10.1016/j.ejphar.2015.04.032. Epub 2015 Apr 28.
8
Zoledronic acid in combination with serine/threonine phosphatase inhibitors induces enhanced cytotoxicity and apoptosis in hormone-refractory prostate cancer cell lines by decreasing the activities of PP1 and PP2A.唑来膦酸联合丝氨酸/苏氨酸磷酸酶抑制剂通过降低 PP1 和 PP2A 的活性,增强激素难治性前列腺癌细胞系的细胞毒性和凋亡。
BJU Int. 2012 Dec;110(11 Pt C):E1147-54. doi: 10.1111/j.1464-410X.2012.11392.x. Epub 2012 Aug 9.
9
The differential anti-tumour effects of zoledronic acid in breast cancer - evidence for a role of the activin signaling pathway.唑来膦酸在乳腺癌中的不同抗肿瘤作用——激活素信号通路作用的证据
BMC Cancer. 2015 Feb 14;15:55. doi: 10.1186/s12885-015-1066-7.
10
Zoledronic acid increases cytotoxicity by inducing apoptosis in hormone and docetaxel-resistant prostate cancer cell lines.唑来膦酸通过诱导激素和多西他赛耐药的前列腺癌细胞系凋亡来增加细胞毒性。
Tumour Biol. 2015 Feb;36(2):779-86. doi: 10.1007/s13277-014-2682-6. Epub 2014 Oct 9.

引用本文的文献

1
Select HDAC Inhibitors Enhance Osteolysis and Bone Metastasis Outgrowth but Can Be Mitigated With Bisphosphonate Therapy.选择的组蛋白去乙酰化酶抑制剂会增强骨溶解和骨转移生长,但双膦酸盐疗法可减轻这种情况。
JBMR Plus. 2023 Jan 25;7(3):e10694. doi: 10.1002/jbm4.10694. eCollection 2023 Mar.
2
Single-cell immunoblotting resolves estrogen receptor-α isoforms in breast cancer.单细胞免疫印迹法解析乳腺癌中的雌激素受体-α亚型。
PLoS One. 2021 Jul 27;16(7):e0254783. doi: 10.1371/journal.pone.0254783. eCollection 2021.
3
Targeting claudin-4 enhances chemosensitivity in breast cancer.

本文引用的文献

1
Oral Bisphosphonates and Improved Survival of Breast Cancer.口服双磷酸盐类药物与乳腺癌患者生存改善相关。
Clin Cancer Res. 2017 Apr 1;23(7):1684-1689. doi: 10.1158/1078-0432.CCR-16-0547. Epub 2016 Sep 28.
2
Effects of neoadjuvant chemotherapy with or without zoledronic acid on pathological response: A meta-analysis of randomised trials.新辅助化疗联合或不联合唑来膦酸对病理反应的影响:一项随机试验的荟萃分析。
Eur J Cancer. 2016 Feb;54:57-63. doi: 10.1016/j.ejca.2015.10.011. Epub 2015 Dec 23.
3
Adjuvant bisphosphonate treatment in early breast cancer: meta-analyses of individual patient data from randomised trials.
靶向紧密连接蛋白 4 增强乳腺癌的化疗敏感性。
Cancer Sci. 2020 May;111(5):1840-1850. doi: 10.1111/cas.14361. Epub 2020 Mar 18.
早期乳腺癌辅助双膦酸盐治疗:随机试验个体患者数据的荟萃分析。
Lancet. 2015 Oct 3;386(10001):1353-1361. doi: 10.1016/S0140-6736(15)60908-4. Epub 2015 Jul 23.
4
Zoledronic acid combined with adjuvant endocrine therapy of tamoxifen versus anastrozol plus ovarian function suppression in premenopausal early breast cancer: final analysis of the Austrian Breast and Colorectal Cancer Study Group Trial 12.唑来膦酸联合辅助内分泌治疗(他莫昔芬)对比阿那曲唑联合卵巢功能抑制在绝经前早期乳腺癌中的应用:奥地利乳腺癌和结直肠癌研究组试验 12 的最终分析
Ann Oncol. 2015 Feb;26(2):313-20. doi: 10.1093/annonc/mdu544. Epub 2014 Nov 17.
5
Zoledronic acid has differential antitumor activity in the pre- and postmenopausal bone microenvironment in vivo.唑来膦酸在体内绝经前和绝经后骨微环境中具有不同的抗肿瘤活性。
Clin Cancer Res. 2014 Jun 1;20(11):2922-32. doi: 10.1158/1078-0432.CCR-13-1246. Epub 2014 Mar 31.
6
Adjuvant zoledronic acid therapy for patients with early stage breast cancer: an updated systematic review and meta-analysis.早期乳腺癌患者辅助唑来膦酸治疗:一项更新的系统评价和荟萃分析。
J Hematol Oncol. 2013 Oct 23;6(1):80. doi: 10.1186/1756-8722-6-80.
7
NCCN Task Force Report: Bone Health In Cancer Care.NCCN 工作组报告:癌症治疗中的骨骼健康。
J Natl Compr Canc Netw. 2013 Aug;11 Suppl 3:S1-50; quiz S51. doi: 10.6004/jnccn.2013.0215.
8
Adjuvant therapy with zoledronic acid in patients with breast cancer: a systematic review and meta-analysis.唑来膦酸辅助治疗乳腺癌患者的系统评价和荟萃分析。
Oncologist. 2013;18(4):353-61. doi: 10.1634/theoncologist.2012-0261. Epub 2013 Feb 12.
9
Zoledronic acid (zoledronate) for postmenopausal women with early breast cancer receiving adjuvant letrozole (ZO-FAST study): final 60-month results.唑来膦酸(唑来膦酸盐)用于接受辅助来曲唑治疗的绝经后早期乳腺癌女性(ZO-FAST 研究):最终 60 个月结果。
Ann Oncol. 2013 Feb;24(2):398-405. doi: 10.1093/annonc/mds277. Epub 2012 Oct 9.
10
Bisphosphonate use and the risk of breast cancer: a meta-analysis of published literature.双膦酸盐类药物的使用与乳腺癌风险:已发表文献的荟萃分析。
Clin Breast Cancer. 2012 Aug;12(4):276-81. doi: 10.1016/j.clbc.2012.04.003. Epub 2012 May 22.