Rezende Barbara Maximino, Athayde Rayssa Maciel, Gonçalves William Antônio, Resende Carolina Braga, Teles de Tolêdo Bernardes Priscila, Perez Denise Alves, Esper Lísia, Reis Alesandra Côrte, Rachid Milene Alvarenga, Castor Marina Gomes Miranda E, Cunha Thiago Mattar, Machado Fabiana Simão, Teixeira Mauro Martins, Pinho Vanessa
Departamento de Morfologia, Instituto de Ciências Biológicas, Universidade Federal de Minas Gerais, Belo Horizonte, Minas Gerais, Brasil.
Departamento de Bioquímica e Imunologia, Instituto de Ciências Biológicas, Universidade Federal de Minas Gerais, Belo Horizonte, Minas Gerais, Brasil.
J Exp Med. 2017 Nov 6;214(11):3399-3415. doi: 10.1084/jem.20170261. Epub 2017 Sep 25.
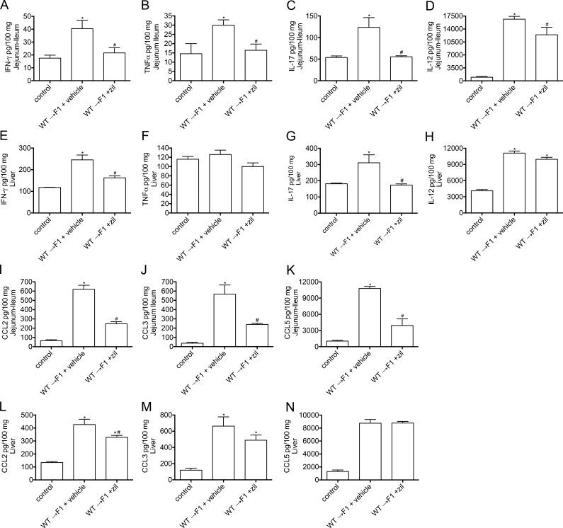
Leukotriene B (LTB), a proinflammatory mediator produced by the enzyme 5-lipoxygenase (5-LO), is associated with the development of many inflammatory diseases. In this study, we evaluated the participation of the 5-LO/LTB axis in graft-versus-host disease (GVHD) pathogenesis by transplanting 5-LO-deficient leukocytes and investigated the effect of pharmacologic 5-LO inhibition by zileuton and LTB inhibition by CP-105,696. Mice that received allogeneic transplant showed an increase in nuclear 5-LO expression in splenocytes, indicating enzyme activation after GVHD. Mice receiving 5-LO-deficient cell transplant or zileuton treatment had prolonged survival, reduced GVHD clinical scores, reduced intestinal and liver injury, and decreased levels of serum and hepatic LTB These results were associated with inhibition of leukocyte recruitment and decreased production of cytokines and chemokines. Treatment with CP-105,696 achieved similar effects. The chimerism or the beneficial graft-versus-leukemia response remained unaffected. Our data provide evidence that the 5-LO/LTB axis orchestrates GVHD development and suggest it could be a target for the development of novel therapeutic strategies for GVHD treatment.
白三烯B(LTB)是由5-脂氧合酶(5-LO)产生的一种促炎介质,与多种炎症性疾病的发生发展相关。在本研究中,我们通过移植5-LO缺陷的白细胞评估了5-LO/LTB轴在移植物抗宿主病(GVHD)发病机制中的作用,并研究了齐留通对5-LO的药理抑制作用以及CP-105,696对LTB的抑制作用。接受同种异体移植的小鼠脾细胞中核5-LO表达增加,表明GVHD后该酶被激活。接受5-LO缺陷细胞移植或齐留通治疗的小鼠生存期延长,GVHD临床评分降低,肠道和肝脏损伤减轻,血清和肝脏LTB水平降低。这些结果与白细胞募集的抑制以及细胞因子和趋化因子产生的减少有关。CP-105,696治疗也取得了类似的效果。嵌合现象或有益的移植物抗白血病反应未受影响。我们的数据提供了证据,表明5-LO/LTB轴在GVHD的发展中起协调作用,并表明它可能成为开发GVHD治疗新策略的靶点。