Suppr超能文献

一种用于亚太地区北斗卫星导航系统/全球定位系统单频单历元定位性能评估的扩展ADOP

An Extended ADOP for Performance Evaluation of Single-Frequency Single-Epoch Positioning by BDS/GPS in Asia-Pacific Region.

作者信息

Liu Xin, Zhang Shubi, Zhang Qiuzhao, Yang Wei

机构信息

School of Environment Science and Spatial Informatics, China University of Mining and Technology, No. 1 Daxue Road, Xuzhou 221116, China.

出版信息

Sensors (Basel). 2017 Sep 30;17(10):2254. doi: 10.3390/s17102254.

Abstract

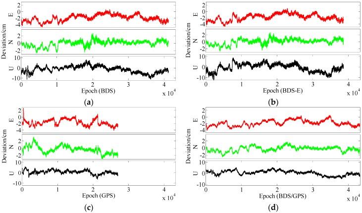
Single-Frequency Single-Epoch (SFSE) high-precision positioning has always been the hot spot of Global Navigation Satellite System (GNSS), and ambiguity dilution of precision (ADOP) is a well-known scalar measure for success rate of ambiguity resolution. Traditional ADOP expression is complicated, thus the SFSE extended ADOP (E-ADOP), with the newly defined Summation-Multiplication Ratio of Weight (SMRW) and two theorems for short baseline, was developed. This simplifies the ADOP expression; gives a clearer insight into the influences of SMRW and number of satellites on E-ADOP; and makes theoretical analysis of E-ADOP more convenient than that of ADOP, and through that the E-ADOP value can be predicted more accurately than through the ADOP expression for ADOP value. E-ADOP reveals that number of satellites and SMRW or high-elevation satellite are important for ADOP and, through E-ADOP, we studied which factor is dominant to control ADOP in different conditions and make ADOP different between BeiDou Navigation Satellite System (BDS), Global Positioning System (GPS), and BDS/GPS. Based on experimental results of SFSE positioning with different baselines, some conclusions are made: (1) ADOP decreases when new satellites are added mainly because the number of satellites becomes larger; (2) when the number of satellites is constant, ADOP is mainly affected by SMRW; (3) in contrast to systems where the satellites with low-elevation are the majority or where low- and high-elevation satellites are equally distributed, in systems where the high-elevation satellites are the majority, the SMRW mainly makes ADOP smaller, even if there are fewer satellites than in the two previous cases, and the difference in numbers of satellites can be expanded as the proportion of high-elevation satellites becomes larger; and (4) ADOP of BDS is smaller than ADOP of GPS mainly because of its SMRW.

摘要

单频单历元(SFSE)高精度定位一直是全球导航卫星系统(GNSS)的研究热点,而模糊度精度因子(ADOP)是衡量模糊度解算成功率的一个著名标量指标。传统的ADOP表达式较为复杂,因此,人们提出了SFSE扩展ADOP(E - ADOP),它定义了新的权重求和 - 乘积比(SMRW)以及两个短基线定理。这简化了ADOP表达式,能更清晰地洞察SMRW和卫星数量对E - ADOP的影响,使E - ADOP的理论分析比ADOP更便捷,进而能比通过ADOP表达式更准确地预测E - ADOP值。E - ADOP表明,卫星数量以及SMRW或高仰角卫星对ADOP很重要,通过E - ADOP,我们研究了在不同条件下哪个因素对控制ADOP起主导作用,以及北斗导航卫星系统(BDS)、全球定位系统(GPS)和BDS / GPS之间ADOP的差异。基于不同基线的SFSE定位实验结果,得出了一些结论:(1)添加新卫星时ADOP降低,主要原因是卫星数量增多;(2)当卫星数量恒定时,ADOP主要受SMRW影响;(3)与低仰角卫星占多数或低仰角和高仰角卫星均匀分布的系统相比,在高仰角卫星占多数的系统中,即使卫星数量比前两种情况少,SMRW也主要使ADOP更小,并且随着高仰角卫星比例增大,卫星数量差异会扩大;(4)BDS的ADOP小于GPS的ADOP,主要是因为其SMRW。

https://cdn.ncbi.nlm.nih.gov/pmc/blobs/1bb3/5677315/57ba9112f7f3/sensors-17-02254-g001.jpg

文献检索

告别复杂PubMed语法,用中文像聊天一样搜索,搜遍4000万医学文献。AI智能推荐,让科研检索更轻松。

立即免费搜索

文件翻译

保留排版,准确专业,支持PDF/Word/PPT等文件格式,支持 12+语言互译。

免费翻译文档

深度研究

AI帮你快速写综述,25分钟生成高质量综述,智能提取关键信息,辅助科研写作。

立即免费体验