Jiang Bin
Department of Chemical Physics , University of Science and Technology of China , Hefei 230026 , China . Email:
Chem Sci. 2017 Sep 1;8(9):6662-6669. doi: 10.1039/c7sc02659e. Epub 2017 Jul 26.
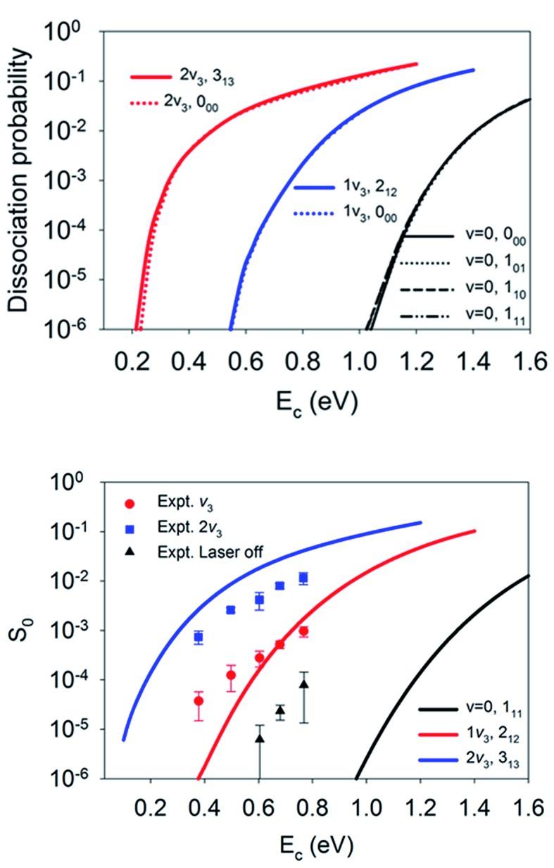
Powerful laser techniques have recently enabled quantum-state resolved molecular beam experiments for investigating gas-surface reactions, which have unveiled intriguing vibrational, rotational, and also steric effects. For reactions involving polyatomic molecules, , the dissociative chemisorption of methane and water, the rotational and related steric effects are far less understood despite a large body of theoretical work having been able to reproduce the observed vibrational mode specificity and related bond selectivity semi-quantitatively or even within chemical accuracy. Herein, we report a high dimensional quantum dynamics study of water dissociation on Ni(111) on a first-principles potential energy surface, focusing on the reactivities of DO in various rotational quantum states with different spatial orientations. Through an accurate quantum mechanical description of this asymmetric top, remarkable dependence of the reactivity on the orientation is observed. This dependence is site specific and rotational state specific. These single site rotational and steric effects are partially justified by a sudden model on the basis of the overlap between the rotational wavefunctions and the angular potential near the transition state, but rotational steering also plays a significant role which complicates the dynamics. Although site averaging weakens the influence of initial rotational excitations and leads to minor effects to the reactivity, steric effects are predicted to be observable if the water molecule is selectively excited and aligned by a linearly polarized laser.
强大的激光技术最近使量子态分辨分子束实验成为可能,用于研究气-表面反应,这些实验揭示了有趣的振动、转动以及空间效应。对于涉及多原子分子的反应,例如甲烷和水的解离化学吸附,尽管大量的理论工作已经能够半定量甚至在化学精度范围内重现所观察到的振动模式特异性和相关的键选择性,但转动和相关的空间效应仍远未被理解。在此,我们报告了在第一性原理势能面上对Ni(111)上的水分解进行的高维量子动力学研究,重点关注处于不同空间取向的各种转动量子态下的DO的反应性。通过对这个不对称陀螺进行精确的量子力学描述,观察到反应性对取向有显著依赖性。这种依赖性是位点特异性和转动状态特异性的。基于转动波函数与过渡态附近角势之间的重叠,这些单一位点的转动和空间效应在一定程度上可以通过一个突然近似模型得到解释,但转动导向也起着重要作用,这使得动力学变得复杂。尽管位点平均减弱了初始转动激发的影响并导致对反应性的影响较小,但如果水分子通过线偏振激光被选择性激发和取向,预计空间效应是可观察到的。