• 文献检索
  • 文档翻译
  • 深度研究
  • 学术资讯
  • Suppr Zotero 插件Zotero 插件
  • 邀请有礼
  • 套餐&价格
  • 历史记录
应用&插件
Suppr Zotero 插件Zotero 插件浏览器插件Mac 客户端Windows 客户端微信小程序
定价
高级版会员购买积分包购买API积分包
服务
文献检索文档翻译深度研究API 文档MCP 服务
关于我们
关于 Suppr公司介绍联系我们用户协议隐私条款
关注我们

Suppr 超能文献

核心技术专利:CN118964589B侵权必究
粤ICP备2023148730 号-1Suppr @ 2026

文献检索

告别复杂PubMed语法,用中文像聊天一样搜索,搜遍4000万医学文献。AI智能推荐,让科研检索更轻松。

立即免费搜索

文件翻译

保留排版,准确专业,支持PDF/Word/PPT等文件格式,支持 12+语言互译。

免费翻译文档

深度研究

AI帮你快速写综述,25分钟生成高质量综述,智能提取关键信息,辅助科研写作。

立即免费体验

钾通道开放剂在青光眼急性和慢性模型中的作用。

Effect of potassium channel openers in acute and chronic models of glaucoma.

作者信息

Panchal Shital S, Mehta Anita A, Santani Devdas D

机构信息

Department of Pharmacology, Institute of Pharmacy, Nirma University, Ahmedabad 382481, Gujarat, India.

Department of Pharmacology, L.M. College of Pharmacy, Navarangpura, Ahmedabad 9, Gujarat, India.

出版信息

Taiwan J Ophthalmol. 2016 Jul-Sep;6(3):131-135. doi: 10.1016/j.tjo.2016.05.006. Epub 2016 Jun 20.

DOI:10.1016/j.tjo.2016.05.006
PMID:29018728
原文链接:https://pmc.ncbi.nlm.nih.gov/articles/PMC5525614/
Abstract

PURPOSE

Glaucoma is characterized by increased intraocular pressure (IOP). The effect of nicorandil and pinacidil on IOP in experimentally induced acute and chronic models of glaucoma and the mechanism of action involved were studied.

METHODS

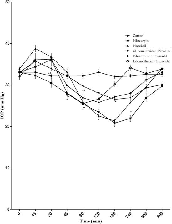
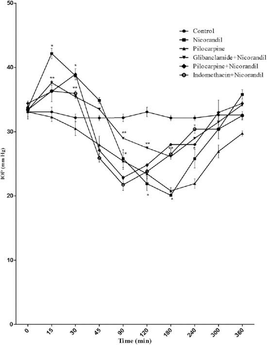
New Zealand white rabbits were used for the study. After the measurement of IOP, nicorandil (1%), pinacidil (1%), and pilocarpine as standard (1%) were instilled topically into the left eye. The other eye served as control. Dextrose (5%) was used to induce acute glaucoma. IOP changes were recorded every 15 minutes until the pressure became normal. Freshly prepared α-chymotrypsin solution was introduced in the posterior chamber to induce chronic glaucoma. Rabbits with ocular hypertension were selected for the study. Similar drug solutions were used to study the effect on IOP. Glibenclamide, pilocarpine, and indomethacin (1%) were used to study the mechanism of action of both drugs. The IOPs were measured just prior to drug instillation and at suitable time intervals using a tonometer.

RESULTS

Pretreatment with topical nicorandil and pinacidil significantly lowered the rise in IOP in the acute model. Nicorandil and pinacidil initially caused rise in IOP for 15-30 minutes in chronic glaucoma. This was followed by reduction in IOP. Pretreatment with indomethacin and pilocarpine did not modify the effect of nicorandil and pinacidil on IOP. Pretreatment with glibenclamide blocked IOP from the lowering effect of nicorandil and pinacidil.

CONCLUSION

The oculohypotensive effect shown by these drugs appears to be attributable to enhancement of the aqueous humor outflow. This effect is perhaps mediated through potassium channels.

摘要

目的

青光眼的特征是眼内压(IOP)升高。研究了尼可地尔和平卡地尔对实验性诱导的急性和慢性青光眼模型中眼内压的影响及其作用机制。

方法

使用新西兰白兔进行研究。测量眼内压后,将1%的尼可地尔、1%的平卡地尔和作为标准的1%毛果芸香碱局部滴入左眼。另一只眼作为对照。用5%葡萄糖诱导急性青光眼。每隔15分钟记录眼内压变化,直至眼压恢复正常。将新制备的α-糜蛋白酶溶液注入后房诱导慢性青光眼。选择高眼压兔进行研究。使用类似的药物溶液研究对眼内压的影响。用格列本脲、毛果芸香碱和1%吲哚美辛研究两种药物的作用机制。在滴药前及适当的时间间隔使用眼压计测量眼内压。

结果

局部应用尼可地尔和平卡地尔预处理可显著降低急性模型中眼内压的升高。在慢性青光眼中,尼可地尔和平卡地尔最初会使眼内压在15 - 30分钟内升高,随后眼内压降低。用吲哚美辛和毛果芸香碱预处理不会改变尼可地尔和平卡地尔对眼内压的影响。用格列本脲预处理可阻止尼可地尔和平卡地尔的降眼压作用。

结论

这些药物显示的降眼压作用似乎归因于房水流出增加。这种作用可能是通过钾通道介导的。

https://cdn.ncbi.nlm.nih.gov/pmc/blobs/54fa/5525614/bea1faac78c9/TJO-6-131-g004.jpg
https://cdn.ncbi.nlm.nih.gov/pmc/blobs/54fa/5525614/624ea7a055c0/TJO-6-131-g001.jpg
https://cdn.ncbi.nlm.nih.gov/pmc/blobs/54fa/5525614/126416bef933/TJO-6-131-g002.jpg
https://cdn.ncbi.nlm.nih.gov/pmc/blobs/54fa/5525614/2f1b799742f4/TJO-6-131-g003.jpg
https://cdn.ncbi.nlm.nih.gov/pmc/blobs/54fa/5525614/bea1faac78c9/TJO-6-131-g004.jpg
https://cdn.ncbi.nlm.nih.gov/pmc/blobs/54fa/5525614/624ea7a055c0/TJO-6-131-g001.jpg
https://cdn.ncbi.nlm.nih.gov/pmc/blobs/54fa/5525614/126416bef933/TJO-6-131-g002.jpg
https://cdn.ncbi.nlm.nih.gov/pmc/blobs/54fa/5525614/2f1b799742f4/TJO-6-131-g003.jpg
https://cdn.ncbi.nlm.nih.gov/pmc/blobs/54fa/5525614/bea1faac78c9/TJO-6-131-g004.jpg

相似文献

1
Effect of potassium channel openers in acute and chronic models of glaucoma.钾通道开放剂在青光眼急性和慢性模型中的作用。
Taiwan J Ophthalmol. 2016 Jul-Sep;6(3):131-135. doi: 10.1016/j.tjo.2016.05.006. Epub 2016 Jun 20.
2
Oculohypotensive effect of angiotensin-converting enzyme inhibitors in acute and chronic models of glaucoma.血管紧张素转换酶抑制剂在急慢性青光眼模型中的眼压降低作用。
J Cardiovasc Pharmacol. 2000 Aug;36(2):169-75. doi: 10.1097/00005344-200008000-00005.
3
Oculohypotensive effect of perindopril in acute and chronic models of glaucoma in rabbits.培哚普利对兔急性和慢性青光眼模型的降眼压作用。
Can J Physiol Pharmacol. 2010 May;88(5):595-600. doi: 10.1139/y10-026.
4
Cytoplasmic calcium and the relaxation of canine coronary arterial smooth muscle produced by cromakalim, pinacidil and nicorandil.细胞质钙与克罗卡林、匹那地尔和尼可地尔引起的犬冠状动脉平滑肌舒张
Br J Pharmacol. 1990 Sep;101(1):157-65. doi: 10.1111/j.1476-5381.1990.tb12106.x.
5
ATP-sensitive potassium (K(ATP)) channel openers diazoxide and nicorandil lower intraocular pressure in vivo.三磷酸腺苷敏感性钾(K(ATP))通道开放剂二氮嗪和尼克地尔在体内降低眼内压。
Invest Ophthalmol Vis Sci. 2013 Jul 22;54(7):4892-9. doi: 10.1167/iovs.13-11872.
6
Effects of cromakalim and nicorandil on intraocular pressure after topical administration in rabbit eyes.克罗卡林和尼可地尔局部应用于兔眼后对眼压的影响。
J Ocul Pharmacol Ther. 1995 Fall;11(3):195-201. doi: 10.1089/jop.1995.11.195.
7
Selective mitochondrial KATP channel activation by nicorandil and 3-pyridyl pinacidil results in antiarrhythmic effect in an anesthetized rabbit model of myocardial ischemia/reperfusion.尼可地尔和3-吡啶基匹那地尔对线粒体ATP敏感性钾通道的选择性激活在麻醉兔心肌缺血/再灌注模型中产生抗心律失常作用。
Methods Find Exp Clin Pharmacol. 2003 Mar;25(2):97-110. doi: 10.1358/mf.2003.25.2.723683.
8
Pinacidil but not nicorandil opens ATP-sensitive K+ channels and protects against simulated ischemia in rabbit myocytes.匹那地尔而非尼可地尔可开放ATP敏感性钾通道,并对兔心肌细胞的模拟缺血具有保护作用。
J Mol Cell Cardiol. 1997 Apr;29(4):1123-30. doi: 10.1006/jmcc.1996.0335.
9
Interaction of potassium channel openers and blockers in canine atrial muscle.钾通道开放剂与阻滞剂在犬心房肌中的相互作用。
Br J Pharmacol. 1989 Jul;97(3):753-62. doi: 10.1111/j.1476-5381.1989.tb12013.x.
10
Intracellular acidification and ADP enhance nicorandil induction of ATP sensitive potassium channel current in cardiomyocytes.细胞内酸化和二磷酸腺苷增强尼可地尔诱导的心肌细胞ATP敏感性钾通道电流。
Cardiovasc Res. 1994 Jun;28(6):831-5. doi: 10.1093/cvr/28.6.831.

引用本文的文献

1
Cannabinoids for the Treatment of Glaucoma: A Review.大麻素用于青光眼治疗的综述
Med Cannabis Cannabinoids. 2024 Sep 16;7(1):183-192. doi: 10.1159/000541461. eCollection 2024 Jan-Dec.
2
Cannabinoid-Based Ocular Therapies and Formulations.基于大麻素的眼部治疗方法与制剂
Pharmaceutics. 2023 Mar 27;15(4):1077. doi: 10.3390/pharmaceutics15041077.
3
Elevated IOP Alters the Material Properties of Sclera and Lamina Cribrosa in Monkeys.眼压升高改变了猴子巩膜和筛板的材料特性。

本文引用的文献

1
ATP-sensitive potassium (K(ATP)) channel openers diazoxide and nicorandil lower intraocular pressure in vivo.三磷酸腺苷敏感性钾(K(ATP))通道开放剂二氮嗪和尼克地尔在体内降低眼内压。
Invest Ophthalmol Vis Sci. 2013 Jul 22;54(7):4892-9. doi: 10.1167/iovs.13-11872.
2
ATP-sensitive potassium (KATP) channel activation decreases intraocular pressure in the anterior chamber of the eye.三磷酸腺苷敏感性钾(KATP)通道激活可降低眼前房的眼内压。
Invest Ophthalmol Vis Sci. 2011 Aug 16;52(9):6435-42. doi: 10.1167/iovs.11-7523.
3
Oculohypotensive effect of perindopril in acute and chronic models of glaucoma in rabbits.
Dis Markers. 2022 Aug 23;2022:5038847. doi: 10.1155/2022/5038847. eCollection 2022.
4
Anti-Inflammatory and Antioxidative Stress Effects of Oryzanol in Glaucomatous Rabbits.谷维素对青光眼兔的抗炎和抗氧化应激作用
J Ophthalmol. 2017;2017:1468716. doi: 10.1155/2017/1468716. Epub 2017 Jan 12.
培哚普利对兔急性和慢性青光眼模型的降眼压作用。
Can J Physiol Pharmacol. 2010 May;88(5):595-600. doi: 10.1139/y10-026.
4
Comparative efficacy of pilocarpine, timolol and latanoprost in experimental models of glaucoma.毛果芸香碱、噻吗洛尔和拉坦前列素在青光眼实验模型中的疗效比较
Methods Find Exp Clin Pharmacol. 2007 Dec;29(10):665-71. doi: 10.1358/mf.2007.29.10.1147765.
5
Glaucoma: a review of adjunctive therapy and new management strategies.青光眼:辅助治疗与新管理策略综述
Expert Opin Pharmacother. 2007 Dec;8(18):3237-49. doi: 10.1517/14656566.8.18.3237.
6
Improved systemic safety and risk-benefit ratio of topical 0.1% timolol hydrogel compared with 0.5% timolol aqueous solution in the treatment of glaucoma.
Graefes Arch Clin Exp Ophthalmol. 2006 Nov;244(11):1491-6. doi: 10.1007/s00417-006-0328-0. Epub 2006 Apr 21.
7
DIRECT OBSERVATION OF SECRETORY PUMPING IN VITRO OF THE RABBIT EYE CILIARY PROCESSES. INFLUENCE OF ION MILIEU AND CARBONIC ANHYDRASE INHIBITION.兔眼睫状体体外分泌泵作用的直接观察。离子环境及碳酸酐酶抑制作用的影响。
Invest Ophthalmol. 1964 Jun;3:266-72.
8
Oculohypotensive effect of angiotensin-converting enzyme inhibitors in acute and chronic models of glaucoma.血管紧张素转换酶抑制剂在急慢性青光眼模型中的眼压降低作用。
J Cardiovasc Pharmacol. 2000 Aug;36(2):169-75. doi: 10.1097/00005344-200008000-00005.
9
Multiple cyclic nucleotide phosphodiesterases in human trabecular meshwork cells.人小梁网细胞中的多种环核苷酸磷酸二酯酶
Invest Ophthalmol Vis Sci. 1999 Jul;40(8):1745-52.
10
A long-lasting hypotensive effect of topical diltiazem on the intraocular pressure in conscious rabbits.
Naunyn Schmiedebergs Arch Pharmacol. 1997 May;355(5):645-50. doi: 10.1007/pl00004996.