Suppr超能文献

通过纳米机械谐振器的阻尼在两个氮空位(NV)中心之间制备纠缠态。

Preparing entangled states between two NV centers via the damping of nanomechanical resonators.

作者信息

Li Xiao-Xiao, Li Peng-Bo, Ma Sheng-Li, Li Fu-Li

机构信息

Shaanxi Province Key Laboratory of Quantum Information and Quantum Optoelectronic Devices, Department of Applied Physics, Xi'an Jiaotong University, Xi'an, 710049, China.

出版信息

Sci Rep. 2017 Oct 26;7(1):14116. doi: 10.1038/s41598-017-14245-8.

Abstract

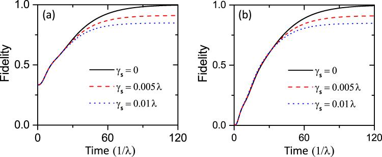
We propose an efficient scheme for preparing entangled states between two separated nitrogen-vacancy (NV) centers in a spin-mechanical system via a dissipative quantum dynamical process. The proposal actively exploits the nanomechanical resonator (NAMR) damping to drive the NV centers to the target state through a quantum reservoir engineering approach. The distinct features of the present work are that we turn the detrimental source of noise into a resource and only need high-frequency low-Q mechanical resonators, which make our scheme more simple and feasible in experimental implementation. This protocol may have interesting applications in quantum information processing with spin-mechanical systems.

摘要

我们提出了一种通过耗散量子动力学过程在自旋机械系统中制备两个分离的氮空位(NV)中心之间纠缠态的有效方案。该方案通过量子库工程方法,积极利用纳米机械谐振器(NAMR)的阻尼将NV中心驱动到目标态。本工作的显著特点是我们将有害的噪声源转化为一种资源,并且只需要高频低品质因数的机械谐振器,这使得我们的方案在实验实现中更加简单可行。该协议在自旋机械系统的量子信息处理中可能有有趣的应用。

https://cdn.ncbi.nlm.nih.gov/pmc/blobs/f7fa/5658428/48236746491b/41598_2017_14245_Fig1_HTML.jpg

文献AI研究员

20分钟写一篇综述,助力文献阅读效率提升50倍。

立即体验

用中文搜PubMed

大模型驱动的PubMed中文搜索引擎

马上搜索

文档翻译

学术文献翻译模型,支持多种主流文档格式。

立即体验