Suppr超能文献

CYP1 家族外源性生物标志物在尿道下裂和包茎患者包皮组织中的表达及其与 SRD5A2 最小启动子 DNA 甲基化水平的关系。

Expression of Xenobiotic Biomarkers CYP1 Family in Preputial Tissue of Patients with Hypospadias and Phimosis and Its Association with DNA Methylation Level of SRD5A2 Minimal Promoter.

机构信息

Laboratory of Environmental Health Sciences, Center for Disease Biology and Integrative Medicine, Graduate School of Medicine, The University of Tokyo, Bunkyo-ku, Tokyo, 113-0033, Japan.

Department of Molecular Endocrinology and Metabolism, National Research Institute for Child Health and Development, Setagaya-ku, Tokyo, 157-8535, Japan.

出版信息

Arch Environ Contam Toxicol. 2018 Feb;74(2):240-247. doi: 10.1007/s00244-017-0466-x. Epub 2017 Oct 27.

Abstract

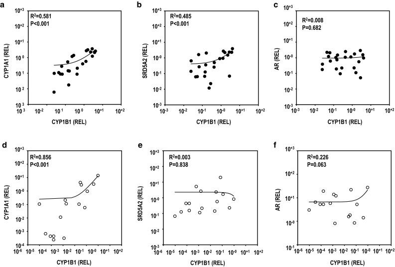
Several epidemiological studies have suggested that the incidence of male reproductive organ malformations, including hypospadias or cryptorchidism, has increased due to fetal-stage exposure to environmental pollutants. However, the association of chemical exposure with the expression of target regulatory genes in the tissues of patients has not yet been reported. Because experimental approaches or clinical trials in human studies are limited, especially those using fetal and/or infants, it is difficult to obtain clear physiological evidence of mechanisms underlying male reproductive malformations. Thus, the lack of physiological evidence makes this issue controversial. We analyzed preputial tissues from patients with hypospadias (n = 23) and phimosis (n = 16). The atypical CYP1 family genes, CYP1A1 and CYP1B1, are potential biomarkers of environmental chemical exposure. We then compared the expression levels of CYP1A1 and CYP1B1 between hypospadias and phimosis samples by quantitative RT-PCR analysis. The mRNA expression levels of SRD5A2 and AR also were measured, because the androgen-related genes involved in the onset of disorders of male reproductive system. A significantly higher CYP1B1 expression level and a lower AR expression level were observed in the hypospadias groups than in the phimosis group. Positive correlations (P < 0.001) between the mRNA expression levels of the CYP1 family and SRD5A2 were found in patients with hypospadias but not in those with phimosis. Moreover, the methylation levels of the four genes were determined by bisulfite genomic sequencing. Although the SRD5A2 promoter region showed moderate methylation, no methylation was detected in CYP1A1, CYP1B1, or AR. There was no significant difference in SRD5A2 promoter methylation level between hypospadias and phimosis patients. Negative correlations were found between the methylation level of SRD5A2, especially at the - 221 Sp1 site, and the CYP1 family mRNA expression levels (CYP1A1, p = 0.002; CYP1B1, p = 0.007) in hypospadias patients, but not in phimosis patients. The significant positive association of mRNA expression level and the negative association of methylation level of the SRD5A2 gene with the mRNA expression levels of CYP1 family genes in the preputial tissue seem to indicate the chemical exposure of patients with hypospadias.

摘要

一些流行病学研究表明,由于胎儿期暴露于环境污染物,男性生殖器官畸形(包括尿道下裂或隐睾)的发病率有所增加。然而,化学暴露与患者组织中靶调节基因的表达之间的关联尚未报道。由于实验方法或临床试验在人体研究中受到限制,特别是那些使用胎儿和/或婴儿的研究,因此很难获得男性生殖畸形机制的明确生理证据。因此,缺乏生理证据使得这个问题存在争议。我们分析了患有尿道下裂(n=23)和包茎(n=16)的患者的包皮组织。非典型 CYP1 家族基因 CYP1A1 和 CYP1B1 是环境化学暴露的潜在生物标志物。然后,我们通过定量 RT-PCR 分析比较了尿道下裂和包茎样本中 CYP1A1 和 CYP1B1 的表达水平。还测量了 SRD5A2 和 AR 的 mRNA 表达水平,因为涉及男性生殖系统疾病发病的雄激素相关基因。与包茎组相比,尿道下裂组中 CYP1B1 的表达水平显著升高,而 AR 的表达水平显著降低。在患有尿道下裂的患者中,CYP1 家族和 SRD5A2 的 mRNA 表达水平之间存在正相关(P<0.001),但在患有包茎的患者中没有发现这种相关性。此外,通过亚硫酸氢盐基因组测序确定了四个基因的甲基化水平。虽然 SRD5A2 启动子区域显示出中度甲基化,但在 CYP1A1、CYP1B1 或 AR 中未检测到甲基化。尿道下裂和包茎患者的 SRD5A2 启动子甲基化水平没有显著差异。在患有尿道下裂的患者中,SRD5A2 的甲基化水平(特别是在-221 Sp1 位点)与 CYP1 家族 mRNA 表达水平(CYP1A1,p=0.002;CYP1B1,p=0.007)呈负相关,但在患有包茎的患者中没有发现这种相关性。在患有尿道下裂的患者中,SRD5A2 基因的 mRNA 表达水平呈显著正相关,而甲基化水平呈负相关,与 CYP1 家族基因的 mRNA 表达水平呈负相关,这似乎表明患者存在化学暴露。

https://cdn.ncbi.nlm.nih.gov/pmc/blobs/b114/5807475/dabe51c24911/244_2017_466_Fig1_HTML.jpg

文献AI研究员

20分钟写一篇综述,助力文献阅读效率提升50倍。

立即体验

用中文搜PubMed

大模型驱动的PubMed中文搜索引擎

马上搜索

文档翻译

学术文献翻译模型,支持多种主流文档格式。

立即体验