Suppr超能文献

一种适用于固相合成、载体上展示及合成后标记的下一代安全扣酸不稳定连接子SCAL-2的简便合成方法。

Facile Synthesis of a Next Generation Safety-Catch Acid-Labile Linker, SCAL-2, Suitable for Solid-Phase Synthesis, On-Support Display and for Post-Synthesis Tagging.

作者信息

Portal Christophe, Hintersteiner Martin, Barbeau Olivier, Dodd Peter, Huggett Margaret, Pérez-Pi Irene, Evans David, Auer Manfred

机构信息

Edinburgh BioQuarter 9 Little France Road, Edinburgh Scotland EH16 4UX U.K.

School of Biological Sciences and Edinburgh Medical School: Biomedical Sciences University of Edinburgh, The King's Buildings, Edinburgh Scotland EH9 3BF U.K.

出版信息

ChemistrySelect. 2017 Aug 11;2(23):6658-6662. doi: 10.1002/slct.201701519. Epub 2017 Aug 16.

Abstract

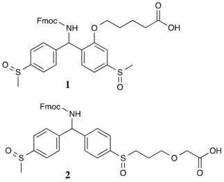
The SCAL linker, a safety catch linker, is amongst the most versatile linkers for solid phase synthesis. It was originally described in 1991 by Pátek and Lebl. Yet, its application has been hindered by the low yields of published synthetic routes. Over time, the exceptional versatility of this linker has been demonstrated in several applications of advanced solid phase synthesis of peptides and peptidomimetics. Recently, an updated synthesis of the original linker has also been presented at the 22 American Peptide Symposium, comprising 10 steps. Herein, the design and synthesis of a next generation SCAL linker, SCAL-2, is reported. SCAL-2 features a simplified molecular architecture, which allows for a more efficient synthesis in 8 steps with superior yields. Both linkers, SCAL and SCAL-2 are compared in terms of their cleavage properties adding valuable information on how to best utilize the versatility of these linkers for solid phase synthesis.

摘要

SCAL连接子是一种安全扣连接子,是固相合成中用途最为广泛的连接子之一。它最初由帕泰克和莱布尔于1991年描述。然而,已发表的合成路线产率较低,阻碍了其应用。随着时间的推移,这种连接子的卓越通用性已在肽和拟肽的先进固相合成的若干应用中得到证明。最近,在第22届美国肽研讨会上还展示了原始连接子的更新合成方法,包括10个步骤。在此报告了下一代SCAL连接子SCAL-2的设计与合成。SCAL-2具有简化的分子结构,可通过8步更高效地合成,产率更高。对SCAL和SCAL-2这两种连接子的裂解特性进行了比较,为如何最佳利用这些连接子在固相合成中的通用性提供了有价值的信息。

https://cdn.ncbi.nlm.nih.gov/pmc/blobs/2f21/5661701/c39fd015b0d6/SLCT-2-6658-g001.jpg

文献AI研究员

20分钟写一篇综述,助力文献阅读效率提升50倍。

立即体验

用中文搜PubMed

大模型驱动的PubMed中文搜索引擎

马上搜索

文档翻译

学术文献翻译模型,支持多种主流文档格式。

立即体验