Tsuchiya Nobuhiro, Yoshikawa Toshiaki, Fujinami Norihiro, Saito Keigo, Mizuno Shoichi, Sawada Yu, Endo Itaru, Nakatsura Tetsuya
Division of Cancer Immunotherapy, Exploratory Oncology Research and Clinical Trial Center, National Cancer Center, Kashiwanoha, Kashiwa, Chiba, Japan.
Department of Gastroenterological Surgery, Yokohama City University Graduate School of Medicine, Huku-ura, Kanazawa-ku, Yokohama, Japan.
Oncoimmunology. 2017 Jul 11;6(10):e1346764. doi: 10.1080/2162402X.2017.1346764. eCollection 2017.
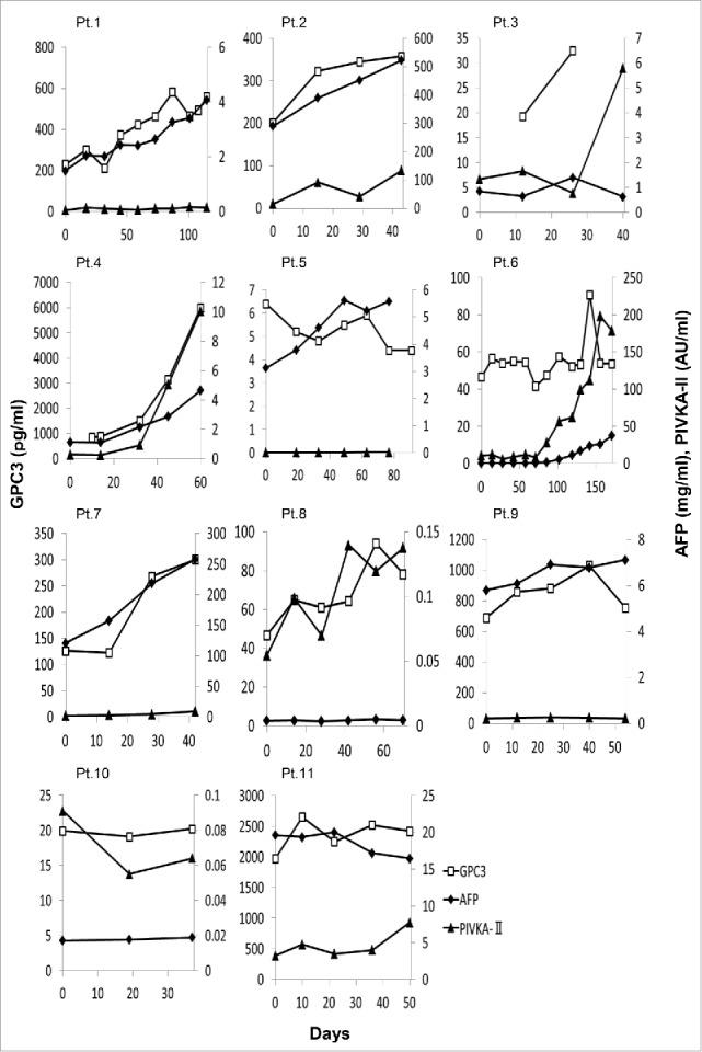
We have previously conducted a phase I trial to test the efficacy of a glypican-3 (GPC3) peptide vaccine in patients with advanced hepatocellular carcinoma (HCC); however, its immunological mechanism of action remains unclear. Here, we report a pilot study conducted to evaluate the immunological mechanisms of action of this GPC3 peptide vaccine (UMIN-CTR number 000005093). Eleven patients with advanced HCC were vaccinated with the GPC3 peptide in this trial. The primary end point was GPC3 peptide-specific immune response induced by the GPC3 peptide vaccination. The secondary endpoints were clinical and biologic outcomes. We demonstrated that the present vaccine induced GPC3 peptide-specific cytotoxic T lymphocytes (CTLs), which were found to infiltrate into the tumor. Moreover, we established GPC3 peptide-specific CTL clones from a biopsy specimen: these cells exhibited GPC3 peptide-specific cytokine secretion and cell cytotoxicity. The plasma GPC3 level tended to decrease temporarily at least once during the follow-up period. The GPC3-specific CTL frequency after vaccination was correlated with overall survival. The degree of skin reactions at the injection site correlated with the GPC3 peptide-specific CTLs. Furthermore, we sequenced the T cell receptors (TCRs) of tumor-infiltrating lymphocyte (TIL) clones, and confirmed the existence of this TCR repertoire in both tumor tissue and PBMCs. In response to these data, we are developing TCR-engineered T cell therapy using TCR sequences obtained from GPC3 peptide-specific CTL clones for improved efficacy in patients with advanced HCC.
我们之前进行了一项I期试验,以测试磷脂酰肌醇蛋白聚糖-3(GPC3)肽疫苗对晚期肝细胞癌(HCC)患者的疗效;然而,其免疫作用机制仍不清楚。在此,我们报告一项旨在评估这种GPC3肽疫苗免疫作用机制的初步研究(UMIN-CTR编号000005093)。在该试验中,11例晚期HCC患者接种了GPC3肽。主要终点是GPC3肽疫苗接种诱导的GPC3肽特异性免疫反应。次要终点是临床和生物学结果。我们证明,目前的疫苗诱导了GPC3肽特异性细胞毒性T淋巴细胞(CTL),并发现其浸润到肿瘤中。此外,我们从活检标本中建立了GPC3肽特异性CTL克隆:这些细胞表现出GPC3肽特异性细胞因子分泌和细胞毒性。在随访期间,血浆GPC3水平至少有一次暂时下降趋势。接种疫苗后的GPC3特异性CTL频率与总生存期相关。注射部位的皮肤反应程度与GPC3肽特异性CTL相关。此外,我们对肿瘤浸润淋巴细胞(TIL)克隆的T细胞受体(TCR)进行了测序,并证实肿瘤组织和外周血单个核细胞(PBMC)中均存在这种TCR库。基于这些数据,我们正在开发利用从GPC3肽特异性CTL克隆获得的TCR序列进行TCR工程化T细胞疗法,以提高晚期HCC患者的疗效。