Suppr超能文献

肥胖数量性状基因座Adip20在使用同类系进行剖析时可分解为至少四个基因座。

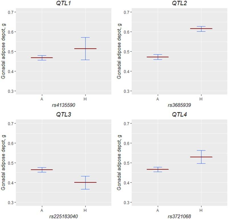
Adiposity QTL Adip20 decomposes into at least four loci when dissected using congenic strains.

作者信息

Lin Cailu, Fesi Brad D, Marquis Michael, Bosak Natalia P, Lysenko Anna, Koshnevisan Mohammed Amin, Duke Fujiko F, Theodorides Maria L, Nelson Theodore M, McDaniel Amanda H, Avigdor Mauricio, Arayata Charles J, Shaw Lauren, Bachmanov Alexander A, Reed Danielle R

机构信息

Monell Chemical Senses Center, Philadelphia, Pennsylvania, United States of America.

出版信息

PLoS One. 2017 Dec 1;12(12):e0188972. doi: 10.1371/journal.pone.0188972. eCollection 2017.

Abstract

An average mouse in midlife weighs between 25 and 30 g, with about a gram of tissue in the largest adipose depot (gonadal), and the weight of this depot differs between inbred strains. Specifically, C57BL/6ByJ mice have heavier gonadal depots on average than do 129P3/J mice. To understand the genetic contributions to this trait, we mapped several quantitative trait loci (QTLs) for gonadal depot weight in an F2 intercross population. Our goal here was to fine-map one of these QTLs, Adip20 (formerly Adip5), on mouse chromosome 9. To that end, we analyzed the weight of the gonadal adipose depot from newly created congenic strains. Results from the sequential comparison method indicated at least four rather than one QTL; two of the QTLs were less than 0.5 Mb apart, with opposing directions of allelic effect. Different types of evidence (missense and regulatory genetic variation, human adiposity/body mass index orthologues, and differential gene expression) implicated numerous candidate genes from the four QTL regions. These results highlight the value of mouse congenic strains and the value of this sequential method to dissect challenging genetic architecture.

摘要

中年普通小鼠体重在25至30克之间,最大的脂肪储存库(性腺)约有1克组织,且该储存库的重量在近交系之间存在差异。具体而言,C57BL/6ByJ小鼠的性腺储存库平均比129P3/J小鼠的更重。为了解该性状的遗传贡献,我们在一个F2杂交群体中对性腺储存库重量的几个数量性状基因座(QTL)进行了定位。我们在此的目标是对位于小鼠9号染色体上的这些QTL之一Adip20(原Adip5)进行精细定位。为此,我们分析了新创建的近交系小鼠性腺脂肪储存库的重量。序列比较法的结果表明至少有四个而非一个QTL;其中两个QTL相距不到0.5 Mb,等位基因效应方向相反。不同类型的证据(错义突变和调控基因变异、人类肥胖/体重指数同源物以及差异基因表达)涉及来自这四个QTL区域的众多候选基因。这些结果突出了小鼠近交系的价值以及这种序列方法在剖析具有挑战性的遗传结构方面的价值。

https://cdn.ncbi.nlm.nih.gov/pmc/blobs/99f0/5711020/3fc90feb445c/pone.0188972.g001.jpg

文献检索

告别复杂PubMed语法,用中文像聊天一样搜索,搜遍4000万医学文献。AI智能推荐,让科研检索更轻松。

立即免费搜索

文件翻译

保留排版,准确专业,支持PDF/Word/PPT等文件格式,支持 12+语言互译。

免费翻译文档

深度研究

AI帮你快速写综述,25分钟生成高质量综述,智能提取关键信息,辅助科研写作。

立即免费体验