Suppr超能文献

螺吡咯烷[吡咯烷-3,3'-吲哚]及其吲哚类似物作为新型 5-HT6 受体化学型。

Spiro[pyrrolidine-3,3'-oxindoles] and Their Indoline Analogues as New 5-HT6 Receptor Chemotypes.

机构信息

Medicinal Chemistry Research Group, Research Centre for Natural Sciences, Hungarian Academy of Sciences, Magyar tudósok körútja 2, H1117 Budapest, Hungary.

Department of Medicinal Chemistry, Institute of Pharmacology, Polish Academy of Sciences, 12 Smętna Street, 31-343 Krakow, Poland.

出版信息

Molecules. 2017 Dec 14;22(12):2221. doi: 10.3390/molecules22122221.

Abstract

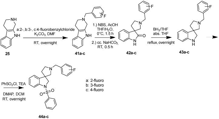
Synthetic derivatives of spiro[pyrrolidinyl-3,3'-oxindole] alkaloids (coerulescine analogues) were investigated as new ligands for aminergic G-protein coupled receptors (GPCRs). The chemical starting point 2'-phenylspiro[indoline-3,3'-pyrrolidin]-2-one scaffold was identified by virtual fragment screening utilizing ligand- and structure based methods. As a part of the hit-to-lead optimization a structure-activity relationship analysis was performed to explore the differently substituted 2'-phenyl-derivatives, introducing the phenylsulphonyl pharmacophore and examining the corresponding reduced spiro[pyrrolidine-3,3'-indoline] scaffold. The optimization process led to ligands with submicromolar affinities towards the 5-HT₆ receptor that might serve as viable leads for further optimization.

摘要

我们研究了具有螺旋[吡咯烷基-3,3'-吲哚]生物碱(蓝斑素类似物)的合成衍生物,将其作为新型配体用于单胺能 G 蛋白偶联受体(GPCR)。通过利用基于配体和结构的方法进行虚拟片段筛选,确定了化学起始点 2'-苯基螺旋[吲哚啉-3,3'-吡咯烷]-2-酮支架。作为从命中到先导的优化的一部分,进行了构效关系分析,以探索不同取代的 2'-苯基衍生物,引入苯磺酰基药效团并检查相应的还原螺旋[吡咯烷-3,3'-吲哚]支架。优化过程得到了对 5-HT₆受体具有亚微摩尔亲和力的配体,它们可能作为进一步优化的可行先导物。

https://cdn.ncbi.nlm.nih.gov/pmc/blobs/0203/6149751/67d46987fd6c/molecules-22-02221-g001.jpg

文献AI研究员

20分钟写一篇综述,助力文献阅读效率提升50倍。

立即体验

用中文搜PubMed

大模型驱动的PubMed中文搜索引擎

马上搜索

文档翻译

学术文献翻译模型,支持多种主流文档格式。

立即体验