Suppr超能文献

乌干达接受抗逆转录病毒治疗的艾滋病毒队列中的社会经济地位与十年生存率及病毒学结果

Socioeconomic position and ten-year survival and virologic outcomes in a Ugandan HIV cohort receiving antiretroviral therapy.

作者信息

Flynn Andrew G, Anguzu Godwin, Mubiru Frank, Kiragga Agnes N, Kamya Moses, Meya David B, Boulware David R, Kambugu Andrew, Castelnuovo Barbara C

机构信息

Infectious Diseases Institute, Kampala, Uganda.

School of Medicine, Makerere University College of Health Sciences, Kampala, Uganda.

出版信息

PLoS One. 2017 Dec 15;12(12):e0189055. doi: 10.1371/journal.pone.0189055. eCollection 2017.

Abstract

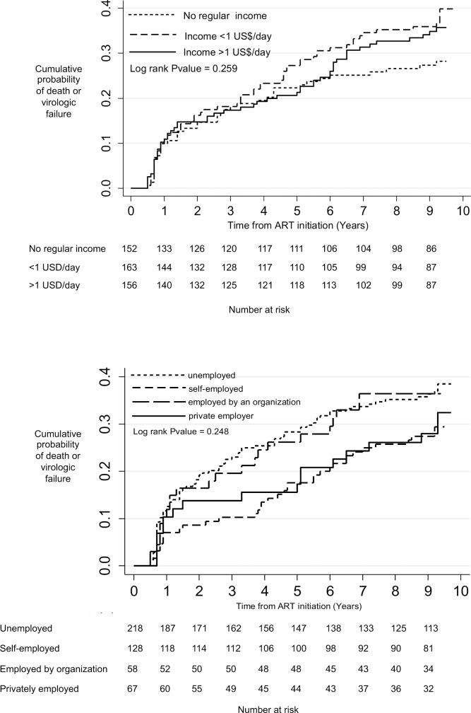
Lifelong ART is essential to reducing HIV mortality and ending the epidemic, however the interplay between socioeconomic position and long-term outcomes of HIV-infected persons receiving antiretroviral therapy (ART) in sub-Saharan Africa is unknown. Furthering the understanding of factors related to long-term ART outcomes in this important region will aid the successful scale-up of ART programs. We enrolled 559 HIV-infected Ugandan adults starting ART in 2004-2005 at the Infectious Diseases Institute in Kampala, Uganda and followed them for 10 years. We documented baseline employment status, regular household income, education level, housing description, physical ability, and CD4 count. Viral load was measured every six months. Proportional hazard regression tested for associations between baseline characteristics and 1) mortality, 2) virologic failure, and 3) mortality or virologic failure as a composite outcome. Over ten years 23% (n = 127) of participants died, 6% (n = 31) were lost-to-follow-up and 23% (107/472) experienced virologic treatment failure. In Kaplan-Meier analysis we observed an association between employment and mortality, with the highest cumulative probability of death occurring in unemployed individuals. In univariate analysis unemployment and disease severity were associated with mortality, but in multivariable analysis the only association with mortality was disease severity. We observed an association between higher household income and an increased incidence of both virologic failure and the combined outcome, and an association between self-employment and lower incidence of virologic failure and the combined outcome when compared to unemployment. Formal education level and housing status were unrelated to outcomes. It is feasible to achieve good ten-year survival, retention-in-care, and viral suppression in a socioeconomically diverse population in a resource-limited setting. Unemployment appears to be related to adverse 10-year ART outcomes. A low level of formal education does not appear to be a barrier to successful long-term ART.

摘要

终身抗逆转录病毒治疗(ART)对于降低艾滋病毒死亡率和终结该流行病至关重要,然而,在撒哈拉以南非洲,社会经济地位与接受抗逆转录病毒治疗(ART)的艾滋病毒感染者的长期结局之间的相互作用尚不清楚。进一步了解这一重要地区与ART长期结局相关的因素,将有助于成功扩大ART项目。我们纳入了2004年至2005年在乌干达坎帕拉传染病研究所开始接受ART治疗的559名感染艾滋病毒的乌干达成年人,并对他们进行了10年的随访。我们记录了基线就业状况、家庭固定收入、教育水平、住房情况、身体能力和CD4细胞计数。每六个月测量一次病毒载量。比例风险回归分析用于检验基线特征与以下三者之间的关联:1)死亡率;2)病毒学失败;3)作为综合结局的死亡率或病毒学失败。在十年间,23%(n = 127)的参与者死亡,6%(n = 31)失访,23%(107/472)经历了病毒学治疗失败。在Kaplan-Meier分析中,我们观察到就业与死亡率之间存在关联,失业个体的累积死亡概率最高。在单变量分析中,失业和疾病严重程度与死亡率相关,但在多变量分析中,与死亡率唯一相关的因素是疾病严重程度。我们观察到,较高的家庭收入与病毒学失败及综合结局的发生率增加之间存在关联,与失业相比,个体经营与病毒学失败及综合结局的较低发生率之间存在关联。正规教育水平和住房状况与结局无关。在资源有限的环境中,在社会经济背景多样的人群中实现良好的十年生存率、治疗保留率和病毒抑制是可行的。失业似乎与ART的不良十年结局相关。低水平的正规教育似乎并不是长期ART成功的障碍。

https://cdn.ncbi.nlm.nih.gov/pmc/blobs/39e2/5731768/4b49e597f0e3/pone.0189055.g001.jpg

文献AI研究员

20分钟写一篇综述,助力文献阅读效率提升50倍。

立即体验

用中文搜PubMed

大模型驱动的PubMed中文搜索引擎

马上搜索

文档翻译

学术文献翻译模型,支持多种主流文档格式。

立即体验