Department of Radiation Systems, Radiation Biology Center, Kyoto University, Kyoto, Japan.
Laboratory of Chromatin Regulatory Network, Department of Mutagenesis, Radiation Biology Center, Kyoto University, Kyoto, Japan.
Elife. 2017 Dec 19;6:e29953. doi: 10.7554/eLife.29953.
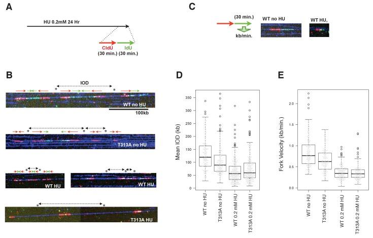
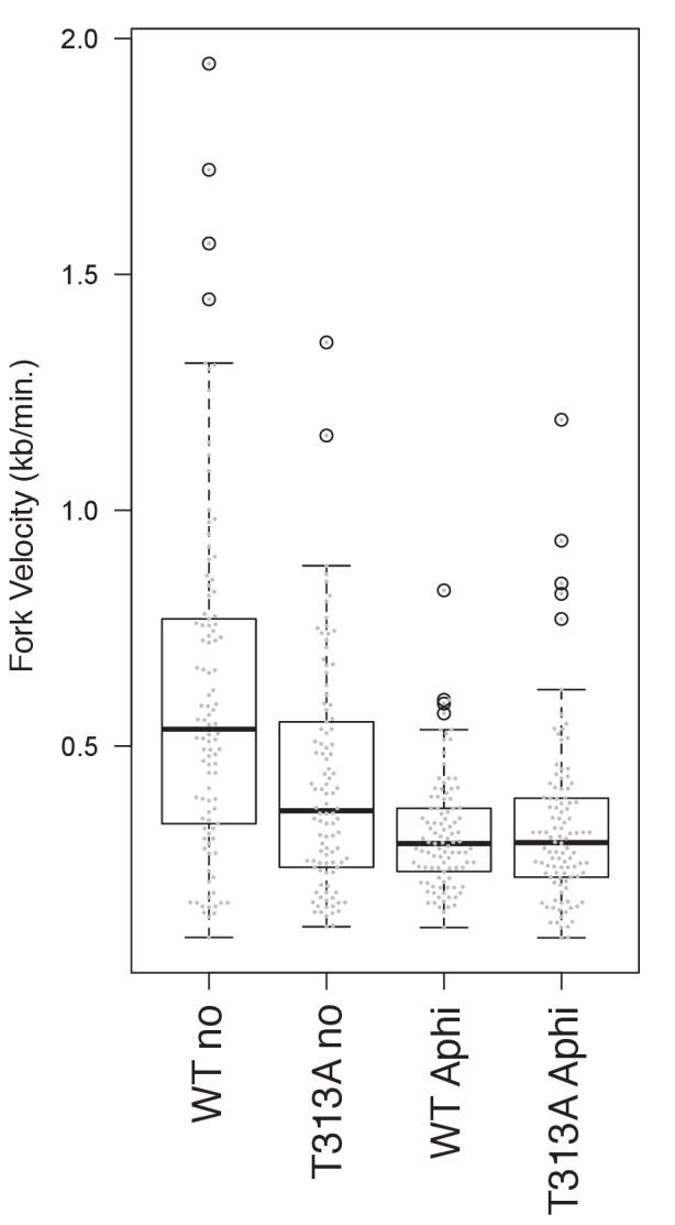
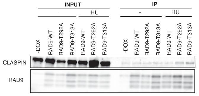
Genotoxic stress causes proliferating cells to activate the DNA damage checkpoint, to assist DNA damage recovery by slowing cell cycle progression. Thus, to drive proliferation, cells must tolerate DNA damage and suppress the checkpoint response. However, the mechanism underlying this negative regulation of checkpoint activation is still elusive. We show that human yclin-ependent-inases (CDKs) target the RAD9 subunit of the 9-1-1 checkpoint clamp on Thr292, to modulate DNA damage checkpoint activation. Thr292 phosphorylation on RAD9 creates a binding site for olo-ike-inase1 (PLK1), which phosphorylates RAD9 on Thr313. These CDK-PLK1-dependent phosphorylations of RAD9 suppress checkpoint activation, therefore maintaining high DNA synthesis rates during DNA replication stress. Our results suggest that CDK locally initiates a PLK1-dependent signaling response that antagonizes the ability of the DNA damage checkpoint to detect DNA damage. These findings provide a mechanism for the suppression of DNA damage checkpoint signaling, to promote cell proliferation under genotoxic stress conditions.
遗传毒性应激会导致增殖细胞激活 DNA 损伤检查点,通过减缓细胞周期进程来协助 DNA 损伤的恢复。因此,为了促进增殖,细胞必须耐受 DNA 损伤并抑制检查点反应。然而,这种检查点激活的负调控的机制仍然难以捉摸。我们发现,人类细胞周期蛋白依赖性激酶(CDKs)将 9-1-1 检查点钳的 RAD9 亚基上的 Thr292 作为靶标,来调节 DNA 损伤检查点的激活。RAD9 上 Thr292 的磷酸化在 RAD9 上创建了一个结合位点,该位点可与 polo 样激酶 1(PLK1)结合,PLK1 进一步将 RAD9 上的 Thr313 磷酸化。RAD9 的这些 CDK-PLK1 依赖性磷酸化抑制检查点的激活,从而在 DNA 复制应激期间保持高 DNA 合成速率。我们的结果表明,CDK 局部启动了一个依赖 PLK1 的信号反应,从而拮抗了 DNA 损伤检查点检测 DNA 损伤的能力。这些发现为抑制 DNA 损伤检查点信号提供了一种机制,以促进遗传毒性应激条件下的细胞增殖。