Hill Matthew P, Macfadyen Sarina, Nash Michael A
Agriculture & Food, CSIRO, Canberra, Australian Capital Territory, Australia.
School of Agriculture, Food and Wine, University of Adelaide, Waite Campus, South Australia, Australia.
PeerJ. 2017 Dec 19;5:e4179. doi: 10.7717/peerj.4179. eCollection 2017.
Pesticide application is the dominant control method for arthropod pests in broad-acre arable systems. In Australia, organophosphate pesticides are often applied either prophylactically, or reactively, including at higher concentrations, to control crop establishment pests such as false wireworms and earth mite species. Organophosphates are reported to be disruptive to beneficial species, such as natural enemies, but this has not been widely assessed in Australian systems. Neither has the risk that secondary outbreaks may occur if the natural enemy community composition or function is altered.
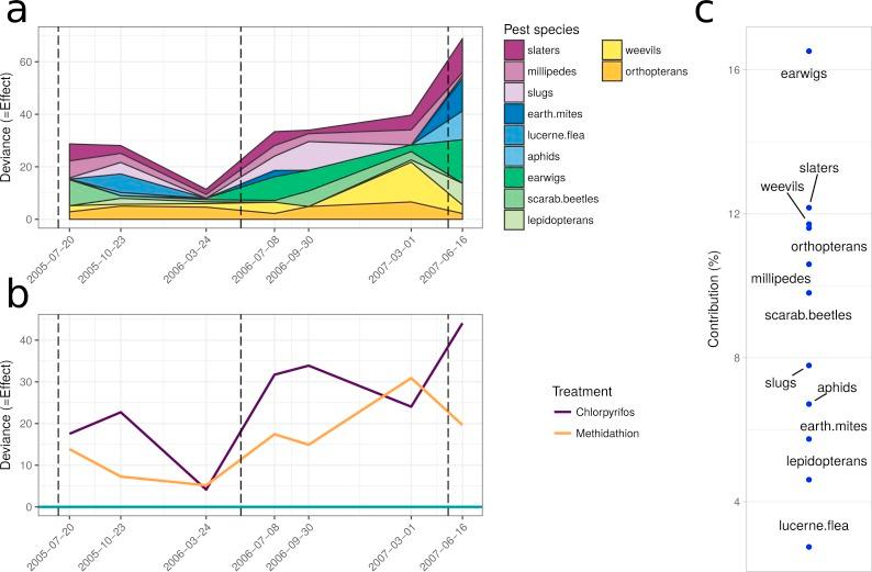
We examine the abundance of ground-dwelling invertebrate communities in an arable field over successive seasons under rotation; barley, two years of wheat, then canola. Two organophosphates (chlorpyrifos and methidathion) were initially applied at recommended rates. After no discernible impact on target pest species, the rate for chlorpyrifos was doubled to elicit a definitive response to a level used at establishment when seedling damage is observed. Invertebrates were sampled using pitfalls and refuge traps throughout the experiments. We applied measures of community diversity, principal response curves and multiple generalised linear modelling techniques to understand the changes in pest and natural enemy communities.
There was large variability due to seasonality and crop type. Nevertheless, both pest (e.g., mites and aphids) and natural enemy (e.g., predatory beetles) invertebrate communities were significantly affected by application of organophosphates. When the rate of chlorpyrifos was increased there was a reduction in the number of beetles that predate on slug populations. Slugs displayed opposite trends to many of the other target pests, and actually increased in numbers under the higher rates of chlorpyrifos in comparison to the other treatments. Slug numbers in the final rotation of canola resulted in significant yield loss regardless of pesticide application.
Organophosphates are a cost-effective tool to control emergent pests in broad-acre arable systems in Australia. We found risks associated with prophylactic application in fields under rotation between different crop types and significant changes to the community of pests and natural enemy. Disrupting key predators reduced effective suppression of other pests, such as slugs, and may lead to secondary outbreaks when rotating with susceptible crops such as canola. Such non-target impacts are rarely documented when studies focus on single-species, rather than community assessments. This study represents a single demonstration of how pesticide application can lead to secondary outbreaks and reinforces the need for studies that include a longer temporal component to understand this process further.
在大面积耕地系统中,施用农药是控制节肢动物害虫的主要方法。在澳大利亚,有机磷农药经常被预防性或反应性地施用,包括以较高浓度施用,以控制诸如金针虫和土螨等作物苗期害虫。据报道,有机磷对有益物种(如天敌)具有破坏性,但在澳大利亚的系统中尚未对此进行广泛评估。如果天敌群落组成或功能发生改变,二次爆发的风险也未得到评估。
我们研究了在轮作(大麦、两年小麦,然后是油菜)的连续季节中,一块耕地上地面无脊椎动物群落的丰度。最初以推荐剂量施用两种有机磷农药(毒死蜱和杀扑磷)。在对目标害虫物种没有明显影响之后,将毒死蜱的剂量加倍,以引发对观察到幼苗受损时在作物苗期使用的剂量水平的明确反应。在整个实验过程中,使用陷阱和避难所陷阱对无脊椎动物进行采样。我们应用群落多样性测量、主反应曲线和多重广义线性建模技术来了解害虫和天敌群落的变化。
由于季节性和作物类型,存在很大的变异性。然而,有机磷农药的施用对害虫(如螨虫和蚜虫)和天敌(如捕食性甲虫)的无脊椎动物群落都有显著影响。当毒死蜱的剂量增加时,捕食蛞蝓的甲虫数量减少。蛞蝓与许多其他目标害虫呈现相反的趋势,与其他处理相比,在毒死蜱较高剂量下数量实际上增加了。无论是否施用农药,油菜最后一轮种植中的蛞蝓数量都导致了显著的产量损失。
有机磷农药是澳大利亚大面积耕地系统中控制新出现害虫的一种经济有效的工具。我们发现,在不同作物类型之间轮作的田地中,预防性施用存在风险,并且害虫和天敌群落发生了重大变化。破坏关键捕食者会降低对其他害虫(如蛞蝓)的有效抑制,并且在与油菜等易感作物轮作时可能导致二次爆发。当研究集中在单一物种而非群落评估时,这种非目标影响很少被记录。这项研究展示了农药施用如何导致二次爆发,并进一步强调了需要进行包含更长时间成分的研究来进一步了解这一过程。