Suppr超能文献

中国干旱区降水和土壤对荒漠生态系统群落特征及叶片化学计量特征的影响

Community Characteristics and Leaf Stoichiometric Traits of Desert Ecosystems Regulated by Precipitation and Soil in an Arid Area of China.

机构信息

Key Laboratory of Plant Resources, West China Subalpine Botanical Garden, Institute of Botany, Chinese Academy of Sciences, Xiangshan, Beijing 100093, China.

College of Resources and Environment, University of Chinese Academy of Sciences, Beijing 100049, China.

出版信息

Int J Environ Res Public Health. 2018 Jan 10;15(1):109. doi: 10.3390/ijerph15010109.

Abstract

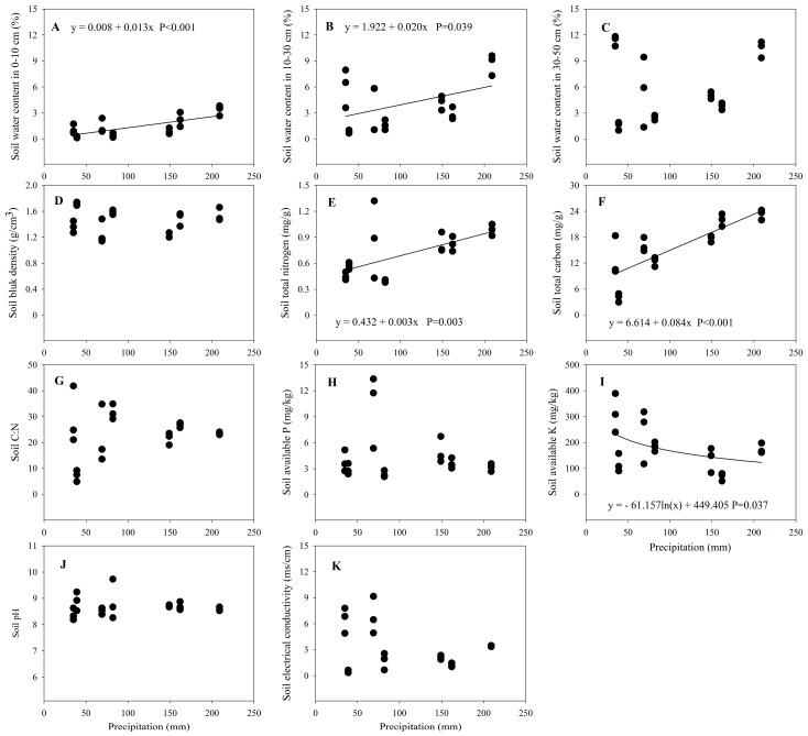
Precipitation is a key environmental factor determining plant community structure and function. Knowledge of how community characteristics and leaf stoichiometric traits respond to variation in precipitation is crucial for assessing the effects of global changes on terrestrial ecosystems. In this study, we measured community characteristics, leaf stoichiometric traits, and soil properties along a precipitation gradient (35-209 mm) in a desert ecosystem of Northwest China to explore the drivers of these factors. With increasing precipitation, species richness, aboveground biomass, community coverage, foliage projective cover (FPC), and leaf area index (LAI) all significantly increased, while community height decreased. The hyperarid desert plants were characterized by lower leaf carbon (C) and nitrogen/phosphorus (N/P) levels, and stable N and P, and these parameters did not change significantly with precipitation. The growth of desert plants was limited more by N than P. Soil properties, rather than precipitation, were the main drivers of desert plant leaf stoichiometric traits, whereas precipitation made the biggest contribution to vegetation structure and function. These results test the importance of precipitation in regulating plant community structure and composition together with soil properties, and provide further insights into the adaptive strategy of communities at regional scale in response to global climate change.

摘要

降水是决定植物群落结构和功能的关键环境因素。了解群落特征和叶片化学计量特征如何响应降水的变化,对于评估全球变化对陆地生态系统的影响至关重要。本研究在中国西北荒漠生态系统中沿降水梯度(35-209mm)测量了群落特征、叶片化学计量特征和土壤性质,以探讨这些因素的驱动因素。随着降水的增加,物种丰富度、地上生物量、群落盖度、叶面积指数(LAI)和叶面积指数(LAI)均显著增加,而群落高度则降低。超干旱荒漠植物的叶片碳(C)和氮/磷(N/P)水平较低,且 N 和 P 较稳定,这些参数随降水变化不显著。荒漠植物的生长受 N 的限制大于 P。土壤性质而不是降水是荒漠植物叶片化学计量特征的主要驱动因素,而降水对植被结构和功能的贡献最大。这些结果检验了降水与土壤性质一起调节植物群落结构和组成的重要性,并进一步了解了社区在区域尺度上对全球气候变化的适应策略。

https://cdn.ncbi.nlm.nih.gov/pmc/blobs/45b2/5800208/7eca352a6c1b/ijerph-15-00109-g001.jpg

文献AI研究员

20分钟写一篇综述,助力文献阅读效率提升50倍。

立即体验

用中文搜PubMed

大模型驱动的PubMed中文搜索引擎

马上搜索

文档翻译

学术文献翻译模型,支持多种主流文档格式。

立即体验