Suppr超能文献

DNA 结构字母表为 DNA 柔韧性提供了新的见解。

A DNA structural alphabet provides new insight into DNA flexibility.

机构信息

Institute of Biotechnology of the Czech Academy of Sciences, BIOCEV, Průmyslová 595, CZ-252 50 Vestec, Czechia.

Laboratory of Informatics and Chemistry, Faculty of Chemical Technology, University of Chemistry and Technology Prague, Technická 5, CZ-166 28 Prague, Czechia.

出版信息

Acta Crystallogr D Struct Biol. 2018 Jan 1;74(Pt 1):52-64. doi: 10.1107/S2059798318000050.

Abstract

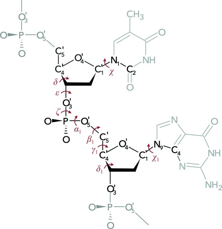
DNA is a structurally plastic molecule, and its biological function is enabled by adaptation to its binding partners. To identify the DNA structural polymorphisms that are possible in such adaptations, the dinucleotide structures of 60 000 DNA steps from sequentially nonredundant crystal structures were classified and an automated protocol assigning 44 distinct structural (conformational) classes called NtC (for Nucleotide Conformers) was developed. To further facilitate understanding of the DNA structure, the NtC were assembled into the DNA structural alphabet CANA (Conformational Alphabet of Nucleic Acids) and the projection of CANA onto the graphical representation of the molecular structure was proposed. The NtC classification was used to define a validation score called confal, which quantifies the conformity between an analyzed structure and the geometries of NtC. NtC and CANA assignment were applied to analyze the structural properties of typical DNA structures such as Dickerson-Drew dodecamers, guanine quadruplexes and structural models based on fibre diffraction. NtC, CANA and confal assignment, which is accessible at the website https://dnatco.org, allows the quantitative assessment and validation of DNA structures and their subsequent analysis by means of pseudo-sequence alignment. An animated Interactive 3D Complement (I3DC) is available in Proteopedia at http://proteopedia.org/w/Journal:Acta_Cryst_D:2.

摘要

DNA 是一种结构可塑性分子,其生物学功能是通过适应其结合伙伴来实现的。为了识别这种适应过程中可能存在的 DNA 结构多态性,对来自顺序非冗余晶体结构的 60000 个 DNA 步长的二核苷酸结构进行了分类,并开发了一种自动协议,将 44 种不同的结构(构象)类别命名为 NtC(核苷酸构象)。为了进一步促进对 DNA 结构的理解,将 NtC 组装成 DNA 结构字母表 CANA(核酸构象字母表),并提出了将 CANA 投影到分子结构的图形表示上。NtC 分类用于定义一个名为 confal 的验证分数,该分数量化了分析结构与 NtC 的几何形状之间的一致性。NtC 和 CANA 的分配被应用于分析典型的 DNA 结构的结构特性,如 Dickerson-Drew 十二聚体、鸟嘌呤四联体和基于纤维衍射的结构模型。可在网站 https://dnatco.org 上访问的 NtC、CANA 和 confal 分配允许对 DNA 结构进行定量评估和验证,并通过伪序列比对对其进行后续分析。在 Proteopedia 中可在 http://proteopedia.org/w/Journal:Acta_Cryst_D:2. 获得动画交互式 3D 补体(I3DC)。

https://cdn.ncbi.nlm.nih.gov/pmc/blobs/916d/5786007/73509b1cd807/d-74-00052-fig1.jpg

文献检索

告别复杂PubMed语法,用中文像聊天一样搜索,搜遍4000万医学文献。AI智能推荐,让科研检索更轻松。

立即免费搜索

文件翻译

保留排版,准确专业,支持PDF/Word/PPT等文件格式,支持 12+语言互译。

免费翻译文档

深度研究

AI帮你快速写综述,25分钟生成高质量综述,智能提取关键信息,辅助科研写作。

立即免费体验