Suppr超能文献

具有超支化结构的新型多胺型螯合树脂的制备及其吸附性能

Preparation of novel polyamine-type chelating resin with hyperbranched structures and its adsorption performance.

作者信息

Chen Youning, Zhao Wei, Wang Huan, Li Yuhong, Li Chenxi

机构信息

College of Chemistry and Chemical Engineering, Xianyang Normal College, Xianyang 712000, People's Republic of China.

出版信息

R Soc Open Sci. 2018 Feb 7;5(2):171665. doi: 10.1098/rsos.171665. eCollection 2018 Feb.

Abstract

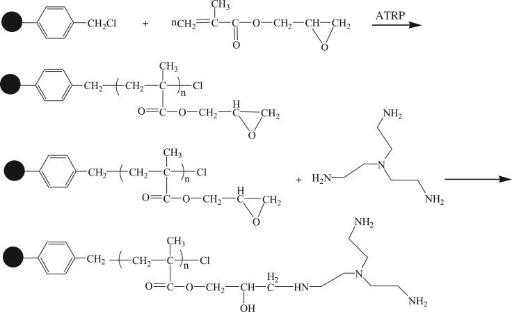
This paper explored the method of combining atom transfer radical polymerization (ATRP) technology and hyperbranched polymer principle to prepare the high capacity chelating resin. First, surface-initiated atom transfer radical polymerization (SI-ATRP) method was used to graft glycidyl methacrylate (GMA) on chloromethylated cross-linked styrene-divinylbenzene resin, and then the novel polyamine chelating resin with a kind of hyperbranched structure was prepared through the amination reaction between amino group of (2-aminoethyl) triamine and epoxy group in GMA. This resin had a selective effect on As(V) and Cr(VI) at a relatively low pH and can be used for the disposal of waste water containing As(V) and Cr(VI). It had a relatively strong adsorption effect on Cu(II), Pb(II), Cd(II) and Cr(III) and can be used for the disposal of heavy metal ion waste water. The finding was that, the adsorption capacity of resin on the studied heavy metal ions was higher than that of the chelating resin synthesized by traditional technology and also higher than that of the resin modified by ATRP technology and bifunctional chelator, indicating that the combination of ATRP and hyperbranched polymer concept is an effective method to prepare chelating resin with high capacity.

摘要

本文探索了结合原子转移自由基聚合(ATRP)技术和超支化聚合物原理制备高容量螯合树脂的方法。首先,采用表面引发原子转移自由基聚合(SI-ATRP)法将甲基丙烯酸缩水甘油酯(GMA)接枝到氯甲基化交联苯乙烯-二乙烯基苯树脂上,然后通过(2-氨乙基)三胺的氨基与GMA中的环氧基之间的胺化反应制备了具有一种超支化结构的新型多胺螯合树脂。该树脂在相对较低的pH值下对As(V)和Cr(VI)具有选择性作用,可用于处理含As(V)和Cr(VI)的废水。它对Cu(II)、Pb(II)、Cd(II)和Cr(III)具有较强的吸附作用,可用于处理重金属离子废水。研究发现,该树脂对所研究的重金属离子的吸附容量高于传统技术合成的螯合树脂,也高于经ATRP技术和双功能螯合剂改性的树脂,表明ATRP与超支化聚合物概念相结合是制备高容量螯合树脂的有效方法。

https://cdn.ncbi.nlm.nih.gov/pmc/blobs/5887/5830764/00f69b27ad0d/rsos171665-g1.jpg

文献AI研究员

20分钟写一篇综述,助力文献阅读效率提升50倍。

立即体验

用中文搜PubMed

大模型驱动的PubMed中文搜索引擎

马上搜索

文档翻译

学术文献翻译模型,支持多种主流文档格式。

立即体验