Suppr超能文献

分析运动相关的前列腺癌肿瘤追踪立体定向体部放射治疗的临床结局。

Analysis of Motion-dependent Clinical Outcome of Tumor Tracking Stereotactic Body Radiotherapy for Prostate Cancer.

机构信息

Department of Radiation Oncology, Gyeongsang National University School of Medicine, Gyeongsang National University Changwon Hospital, Changwon, Korea.

Institute of Health Science, Gyeongsang National University, Jinju, Korea.

出版信息

J Korean Med Sci. 2018 Apr 2;33(14):e107. doi: 10.3346/jkms.2018.33.e107.

Abstract

BACKGROUND

To analyze clinical outcome of CyberKnife (CK) tumor-tracking stereotactic body radiotherapy (SBRT) for prostate cancer (Pca) according to the magnitude of intra-fractional prostate motion.

METHODS

Medical records and daily treatment logs for 71 patients who received CK tumor-tracking SBRT were retrospectively analyzed. Statistical relationships between prostate motion and various outcome results, including local recurrence (LR), biochemical failure (BF), and treatment-related toxicity, were investigated in order to evaluate motion-dependent efficacy of tumor-tracking SBRT for Pca.

RESULTS

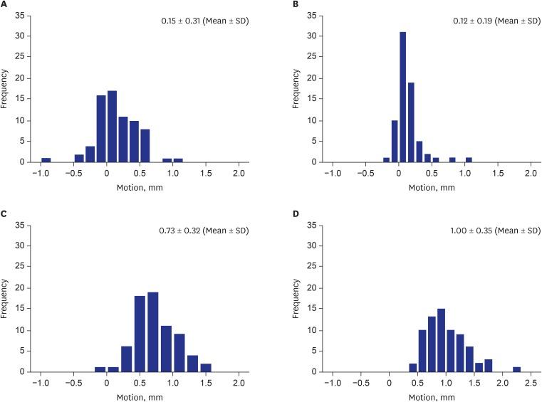
In a total 71 patients, 3 (4.2%) patients with LR, 12 (16.9%) patients with BF, and 22 (31%) patients with grade-II or worse toxicities to rectal or bladder (22 to rectal, 22 to bladder and 8 patients to both) were observed in a median follow-up of 47 months. Magnitudes of intra-fractional tumor motion along superior-inferior, right-left, and anterior-posterior (AP) axes were 0.15 ± 0.31, 0.12 ± 0.19, and 0.73 ± 0.32 mm, respectively. Radial magnitude was estimated to be 1.0 ± 0.35 mm. Intra-fractional movement was not significantly correlated with tumor control. However, it was significant correlated with the incidence of grade-II or worse toxicity to rectum or bladder particularly when tumor motion was in the AP axis.

CONCLUSION

Our quantitative results revealed that toxicity related to SBRT treatment was highly sensitive to intra-fractional prostate movements, although local-tumor control was not affected by such movements. Our results demonstrate that precise motion correction is essential in prostate SBRT, even if it seems to be small.

摘要

背景

分析 CyberKnife(CK)肿瘤跟踪立体定向体放射治疗(SBRT)治疗前列腺癌(Pca)的临床结果,根据分次内前列腺运动的幅度。

方法

回顾性分析了 71 例接受 CK 肿瘤跟踪 SBRT 治疗的患者的病历和每日治疗记录。为了评估肿瘤跟踪 SBRT 治疗前列腺癌的运动依赖性疗效,研究了前列腺运动与局部复发(LR)、生化失败(BF)和治疗相关毒性等各种结果之间的统计关系。

结果

在 71 例患者中,中位随访 47 个月后,3 例(4.2%)发生 LR,12 例(16.9%)发生 BF,22 例(31%)发生 2 级或更严重的直肠或膀胱毒性(22 例直肠,22 例膀胱,8 例两者均有)。分次内肿瘤运动在上下、左右和前后(AP)轴上的幅度分别为 0.15 ± 0.31、0.12 ± 0.19 和 0.73 ± 0.32mm,半径幅度估计为 1.0 ± 0.35mm。分次内运动与肿瘤控制无显著相关性。然而,它与直肠或膀胱 2 级或更严重毒性的发生率显著相关,特别是当肿瘤运动在 AP 轴上时。

结论

我们的定量结果表明,SBRT 治疗相关的毒性对分次内前列腺运动高度敏感,尽管局部肿瘤控制不受此类运动影响。我们的结果表明,即使运动看起来很小,在前列腺 SBRT 中精确的运动校正也是必不可少的。

https://cdn.ncbi.nlm.nih.gov/pmc/blobs/b8a9/5879038/a9a7f7424c50/jkms-33-e107-g001.jpg

文献检索

告别复杂PubMed语法,用中文像聊天一样搜索,搜遍4000万医学文献。AI智能推荐,让科研检索更轻松。

立即免费搜索

文件翻译

保留排版,准确专业,支持PDF/Word/PPT等文件格式,支持 12+语言互译。

免费翻译文档

深度研究

AI帮你快速写综述,25分钟生成高质量综述,智能提取关键信息,辅助科研写作。

立即免费体验