Suppr超能文献

无意义的选择?秋黏虫的成虫似乎会为幼虫选择最佳或最差的宿主,但初孵幼虫会自己做出选择。

Nonsensical choices? Fall armyworm moths choose seemingly best or worst hosts for their larvae, but neonate larvae make their own choices.

机构信息

Department of Entomology, Texas A&M University, College Station, TX, United States of America.

Department of Plant Pathology and Microbiology, Texas A&M University, College Station, TX, United States of America.

出版信息

PLoS One. 2018 May 24;13(5):e0197628. doi: 10.1371/journal.pone.0197628. eCollection 2018.

Abstract

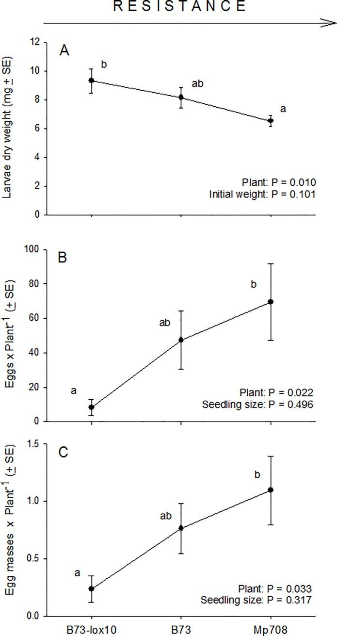
Selecting optimal host plants is critical for herbivorous insects, such as fall armyworm (Spodoptera frugiperda), an important maize pest in the Americas and Africa. Fall armyworm larvae are presumed to have limited mobility, hence female moths are presumed to be largely responsible for selecting hosts. We addressed host selection by fall armyworm moths and neonate and older (3rd-instar) larvae, as mediated by resistance and herbivory in maize plants. Thus, we compared discrimination among three maize cultivars with varying degrees of resistance to fall armyworm, and between plants subjected or not to two types of herbivory. The cultivars were: (i) susceptible, and deficient in jasmonic acid (JA) production and green leaf volatiles (GLV) emissions (inbred line B73-lox10); (ii) modestly resistant (B73), and; (iii) highly resistant (Mp708). The herbivory types were: (i) ongoing (= fall armyworm larvae present), and; (ii) future (= fall armyworm eggs present). In choice tests, moths laid more eggs on the highly resistant cultivar, and least on the susceptible cultivar, though on those cultivars larvae performed poorest and best, respectively. In the context of herbivory, moths laid more eggs: (i) on plants subject to versus free of future herbivory, regardless of whether plants were deficient or not in JA and GLV production; (ii) on plants subject versus free of ongoing herbivory, and; (iii) on plants not deficient in compared to deficient in JA and GLV production. Neonate larvae dispersed aerially from host plants (i.e. ballooned), and most larvae colonized the modestly resistant cultivar, and fewest the highly resistant cultivar, suggesting quasi-directional, directed aerial descent. Finally, dispersing older larvae did not discriminate among the three maize cultivars, nor between maize plants and (plastic) model maize plants, suggesting random, visually-oriented dispersal. Our results were used to assemble a model of host selection by fall armyworm moths and larvae, including recommendations for future research.

摘要

选择最佳的宿主植物对草食性昆虫(如秋粘虫)至关重要,秋粘虫是美洲和非洲重要的玉米害虫。秋粘虫幼虫的移动能力有限,因此雌性飞蛾被认为在很大程度上负责选择宿主。我们研究了秋粘虫飞蛾和幼虫的宿主选择,由玉米植株的抗虫性和取食介导。因此,我们比较了三种玉米品种的抗性差异,这三种玉米品种对秋粘虫的抗性程度不同,以及两种取食类型(秋粘虫幼虫和秋粘虫卵)之间的差异。这三种玉米品种分别是:(i)敏感型,缺乏茉莉酸(JA)合成和绿叶挥发物(GLV)释放(自交系 B73-lox10);(ii)中抗型(B73);(iii)高抗型(Mp708)。这两种取食类型分别是:(i)正在进行(=秋粘虫幼虫存在);(ii)未来发生(=秋粘虫卵存在)。在选择试验中,飞蛾在高抗品种上产卵较多,在敏感品种上产卵较少,而幼虫在那些品种上的表现分别最差和最好。在取食的情况下,飞蛾:(i)在未来取食和无未来取食的植物上产卵较多,而不论植物是否缺乏 JA 和 GLV 合成;(ii)在正在取食和无正在取食的植物上产卵较多;(iii)在 JA 和 GLV 合成不缺乏的植物上产卵较多,而在缺乏 JA 和 GLV 合成的植物上产卵较少。初龄幼虫从宿主植物上空气分散(即气球状),大多数幼虫定殖于中抗品种,而最少定殖于高抗品种,这表明有准定向、定向的空中降落。最后,分散的大龄幼虫在三种玉米品种之间没有表现出差异,也没有在玉米植株和(塑料)模型玉米植株之间表现出差异,这表明它们的扩散是随机的,面向视觉的。我们的研究结果被用来构建一个秋粘虫飞蛾和幼虫选择宿主的模型,包括对未来研究的建议。

https://cdn.ncbi.nlm.nih.gov/pmc/blobs/13c2/5967860/c13d9cef5108/pone.0197628.g001.jpg

文献检索

告别复杂PubMed语法,用中文像聊天一样搜索,搜遍4000万医学文献。AI智能推荐,让科研检索更轻松。

立即免费搜索

文件翻译

保留排版,准确专业,支持PDF/Word/PPT等文件格式,支持 12+语言互译。

免费翻译文档

深度研究

AI帮你快速写综述,25分钟生成高质量综述,智能提取关键信息,辅助科研写作。

立即免费体验