• 文献检索
  • 文档翻译
  • 深度研究
  • 学术资讯
  • Suppr Zotero 插件Zotero 插件
  • 邀请有礼
  • 套餐&价格
  • 历史记录
应用&插件
Suppr Zotero 插件Zotero 插件浏览器插件Mac 客户端Windows 客户端微信小程序
定价
高级版会员购买积分包购买API积分包
服务
文献检索文档翻译深度研究API 文档MCP 服务
关于我们
关于 Suppr公司介绍联系我们用户协议隐私条款
关注我们

Suppr 超能文献

核心技术专利:CN118964589B侵权必究
粤ICP备2023148730 号-1Suppr @ 2026

文献检索

告别复杂PubMed语法,用中文像聊天一样搜索,搜遍4000万医学文献。AI智能推荐,让科研检索更轻松。

立即免费搜索

文件翻译

保留排版,准确专业,支持PDF/Word/PPT等文件格式,支持 12+语言互译。

免费翻译文档

深度研究

AI帮你快速写综述,25分钟生成高质量综述,智能提取关键信息,辅助科研写作。

立即免费体验

内镜鼻窦手术后伤口愈合:类固醇与抗生素浸渍可吸收鼻腔填塞物的比较:一项随机、双盲、安慰剂对照研究

Steroid vs. antibiotic impregnated absorbable nasal packing for wound healing after endoscopic sinus surgery: a randomized, double blind, placebo-controlled study.

作者信息

Grzeskowiak Blazej, Wierzchowska Malgorzata, Walorek Rafal, Seredyka-Burduk Malgorzata, Wawrzyniak Katarzyna, Burduk Pawel Krzysztof

机构信息

University Hospital, Department of Otolaryngology and Laryngological Oncology, Bydgoszcz, Poland.

Nicolaus Copernicus University, Faculty of Medicine, Department of Otolaryngology and Laryngological Oncology, Collegium Medicum, Toruń, Poland.

出版信息

Braz J Otorhinolaryngol. 2019 Jul-Aug;85(4):473-480. doi: 10.1016/j.bjorl.2018.04.002. Epub 2018 May 10.

DOI:10.1016/j.bjorl.2018.04.002
PMID:29807811
原文链接:https://pmc.ncbi.nlm.nih.gov/articles/PMC9443042/
Abstract

INTRODUCTION

Endoscopic sinus surgery can lead to crusting or synechiae formation, which can affect the healing process.

OBJECTIVE

The aim of our study was to compare the influence of steroid versus antibiotic versus saline solution impregnated absorbable nasal spacers on postoperative wound healing and patient satisfaction.

METHODS

Eighty patients, 33 women and 47 men, were enrolled in this study. At the end of the surgery, two pieces of 4cm biodegradable material were applied in each ethmoid cavity. One of them was impregnated with saline solution, while the second one with steroid, or with antibiotic.

RESULTS

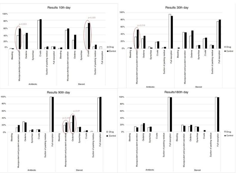
We observed statistically significant differences in the Lund-Kennedy score between the control and both treatment groups: for the Antibiotic-group on days 10 and 30 (p=0.009; p=0.009) and for the Steroid-group on day 90 (p=0.008). The extended endoscopic appearance of nasal mucosa indicated statistically significant differences in crust formation on day 10 comparing the steroid and control dressing (p=0.025), in secretion type on days 10 and 30 comparing the antibiotic and control dressing (p=0.003; p=0.016) and additionally for steroid and control on day 90 (p=0.046). On Day 90 we observed statistically significant differences in the absence of mucosal edema in the S-group compared to controls (p=0.007).

CONCLUSIONS

The results of this study reveal the significant positive influence of steroid- and antibiotic-impregnated biodegradable nasal packing on the postoperative healing process and patient satisfaction compared to the saline soaked dressing.

摘要

引言

鼻内镜鼻窦手术可导致结痂或粘连形成,进而影响愈合过程。

目的

本研究旨在比较类固醇、抗生素及生理盐水浸渍的可吸收鼻腔支撑物对术后伤口愈合及患者满意度的影响。

方法

本研究纳入80例患者,其中女性33例,男性47例。手术结束时,在每个筛窦腔内放置两片4厘米的可生物降解材料。其中一片浸渍生理盐水,另一片浸渍类固醇或抗生素。

结果

我们观察到,对照组与两个治疗组之间的Lund-Kennedy评分存在统计学显著差异:抗生素组在第10天和第30天(p=0.009;p=0.009),类固醇组在第90天(p=0.008)。鼻黏膜的扩展内镜表现显示,在第10天,比较类固醇敷料与对照敷料时,结痂形成存在统计学显著差异(p=0.025);在第10天和第30天,比较抗生素敷料与对照敷料时,分泌物类型存在统计学显著差异(p=0.003;p=0.016),此外在第90天,比较类固醇敷料与对照敷料时也存在差异(p=0.046)。在第90天,我们观察到,与对照组相比,S组黏膜无水肿存在统计学显著差异(p=0.007)。

结论

本研究结果显示,与生理盐水浸泡的敷料相比,浸渍类固醇和抗生素的可生物降解鼻腔填塞物对术后愈合过程及患者满意度有显著的积极影响。

https://cdn.ncbi.nlm.nih.gov/pmc/blobs/23e7/9443042/0e7d9baca495/gr2.jpg
https://cdn.ncbi.nlm.nih.gov/pmc/blobs/23e7/9443042/39cec4cfbf29/gr1.jpg
https://cdn.ncbi.nlm.nih.gov/pmc/blobs/23e7/9443042/0e7d9baca495/gr2.jpg
https://cdn.ncbi.nlm.nih.gov/pmc/blobs/23e7/9443042/39cec4cfbf29/gr1.jpg
https://cdn.ncbi.nlm.nih.gov/pmc/blobs/23e7/9443042/0e7d9baca495/gr2.jpg

相似文献

1
Steroid vs. antibiotic impregnated absorbable nasal packing for wound healing after endoscopic sinus surgery: a randomized, double blind, placebo-controlled study.内镜鼻窦手术后伤口愈合:类固醇与抗生素浸渍可吸收鼻腔填塞物的比较:一项随机、双盲、安慰剂对照研究
Braz J Otorhinolaryngol. 2019 Jul-Aug;85(4):473-480. doi: 10.1016/j.bjorl.2018.04.002. Epub 2018 May 10.
2
Bioabsorbable dressing impregnated with betamethasone and ciprofloxacin after endoscopic sinus surgery: A randomized, double-blind, placebo-controlled study.内镜鼻窦手术后应用倍他米松和环丙沙星浸渍的可吸收敷料:一项随机、双盲、安慰剂对照研究。
Ear Nose Throat J. 2024 Jul;103(7):NP455-NP460. doi: 10.1177/01455613211062457. Epub 2021 Dec 15.
3
Clinical outcome and patient satisfaction using biodegradable (NasoPore) and non-biodegradable packing, a double-blind, prospective, randomized study.使用可生物降解(NasoPore)和不可生物降解填充物的临床结果及患者满意度:一项双盲、前瞻性、随机研究
Braz J Otorhinolaryngol. 2017 Jan-Feb;83(1):23-28. doi: 10.1016/j.bjorl.2016.01.001. Epub 2016 Mar 28.
4
Effects of mometasone furoate-impregnated biodegradable nasal dressing on endoscopic appearance in healing process following endoscopic sinus surgery: a randomized, double-blind, placebo-controlled study.糠酸莫米松浸渍可生物降解鼻腔填塞在鼻内镜鼻窦手术后愈合过程中对内镜外观的影响:一项随机、双盲、安慰剂对照研究。
Int Forum Allergy Rhinol. 2018 Nov;8(11):1233-1241. doi: 10.1002/alr.22213. Epub 2018 Oct 3.
5
Triamcinolone-impregnated nasal dressing following endoscopic sinus surgery: a randomized, double-blind, placebo-controlled study.经内镜鼻窦手术后应用曲安奈德浸渍的鼻腔填塞:一项随机、双盲、安慰剂对照研究。
Laryngoscope. 2010 Jun;120(6):1269-73. doi: 10.1002/lary.20905.
6
Pilot study comparing steroid-impregnated and non-steroid-impregnated absorbable nasal dressing following endoscopic sinus surgery.一项关于内镜鼻窦手术后比较含类固醇与不含类固醇的可吸收鼻腔敷料的初步研究。
Med J Malaysia. 2018 Aug;73(4):244-248.
7
Effects of triamcinolone-impregnated nasal dressing on subjective and objective outcomes following endoscopic sinus surgery.曲安奈德浸渍鼻敷料对鼻内镜鼻窦手术后主观和客观结果的影响。
Eur Arch Otorhinolaryngol. 2016 Dec;273(12):4351-4357. doi: 10.1007/s00405-016-4185-0. Epub 2016 Jun 30.
8
Systemic effects and safety of triamcinolone-impregnated nasal packing after endoscopic sinus surgery: a randomized, double-blinded, placebo-controlled study.经内镜鼻窦手术后曲安奈德浸渍鼻腔填塞的全身作用和安全性:一项随机、双盲、安慰剂对照研究。
Am J Rhinol Allergy. 2013 Sep-Oct;27(5):407-10. doi: 10.2500/ajra.2013.27.3924.
9
Randomized controlled trial of steroid-soaked absorbable calcium alginate nasal packing following endoscopic sinus surgery.内镜鼻窦手术后使用类固醇浸泡的可吸收藻酸钙鼻腔填塞物的随机对照试验。
Laryngoscope. 2018 Feb;128(2):311-316. doi: 10.1002/lary.26871. Epub 2017 Sep 22.
10
Role of nasal packing in surgical outcome for chronic rhinosinusitis with polyposis.鼻腔填塞在伴息肉的慢性鼻-鼻窦炎手术结局中的作用。
Laryngoscope. 2014 Jul;124(7):1529-35. doi: 10.1002/lary.24543. Epub 2014 Jan 15.

引用本文的文献

1
Evaluating the efficacy of nasal irrigation in postoperative functional endoscopic sinus surgery patients: a systematic review and meta-analysis.评价鼻腔冲洗在功能性鼻内镜鼻窦手术后患者中的疗效:系统评价和荟萃分析。
Eur Arch Otorhinolaryngol. 2024 Aug;281(8):3903-3913. doi: 10.1007/s00405-024-08535-x. Epub 2024 Mar 16.
2
Intranasal Synechiae as Complications of Rhinosurgical Treatment-A Review of Current Knowledge.鼻内粘连作为鼻外科治疗的并发症——当前知识综述
J Clin Med. 2023 Oct 29;12(21):6831. doi: 10.3390/jcm12216831.
3
Efficacy of Steroid-Impregnated Spacers After Endoscopic Sinus Surgery in Chronic Rhinosinusitis: A Systematic Review and Meta-Analysis.

本文引用的文献

1
Clinical outcome and patient satisfaction using biodegradable (NasoPore) and non-biodegradable packing, a double-blind, prospective, randomized study.使用可生物降解(NasoPore)和不可生物降解填充物的临床结果及患者满意度:一项双盲、前瞻性、随机研究
Braz J Otorhinolaryngol. 2017 Jan-Feb;83(1):23-28. doi: 10.1016/j.bjorl.2016.01.001. Epub 2016 Mar 28.
2
Absorbable Steroid-Impregnated Spacer After Endoscopic Sinus Surgery to Reduce Synechiae Formation.内镜鼻窦手术后使用可吸收的含类固醇间隔物以减少粘连形成
Ann Otol Rhinol Laryngol. 2016 Mar;125(3):195-8. doi: 10.1177/0003489415606446. Epub 2015 Sep 21.
3
Patient comfort following FESS and Nasopore® packing, a double blind, prospective, randomized trial.
慢性鼻-鼻窦炎患者内镜鼻窦手术后类固醇浸渍间隔物的疗效:一项系统评价和荟萃分析
Clin Exp Otorhinolaryngol. 2023 May;16(2):148-158. doi: 10.21053/ceo.2022.01718. Epub 2023 Feb 15.
4
Trends in Endoscopic Sinonasal Debridement in the Medicare Population.《医疗保险人群中鼻内镜鼻窦清创术的趋势》。
Perm J. 2021 May;25. doi: 10.7812/TPP/20.110.
5
Antibiotic eluting sinus stents.抗生素洗脱鼻窦支架
Laryngoscope Investig Otolaryngol. 2020 Jul 11;5(4):598-607. doi: 10.1002/lio2.423. eCollection 2020 Aug.
6
Current and Alternative Therapies for Nasal Mucosa Injury: A Review.鼻腔黏膜损伤的当前和替代疗法:综述。
Int J Mol Sci. 2020 Jan 12;21(2):480. doi: 10.3390/ijms21020480.
功能性内窥镜鼻窦手术(FESS)联合使用Nasopore®填塞物后的患者舒适度:一项双盲、前瞻性、随机试验
Rhinology. 2014 Mar;52(1):60-5. doi: 10.4193/Rhino13.020.
4
EPOS 2012: European position paper on rhinosinusitis and nasal polyps 2012. A summary for otorhinolaryngologists.EPOS 2012:欧洲鼻窦炎和鼻息肉诊治指南 2012。供耳鼻喉科医生使用的摘要。
Rhinology. 2012 Mar;50(1):1-12. doi: 10.4193/Rhino12.000.
5
Management of early nasal polyposis using a steroid-impregnated nasal dressing.早期鼻息肉的类固醇浸渍鼻腔填塞治疗。
Int Forum Allergy Rhinol. 2011 Sep-Oct;1(5):401-4. doi: 10.1002/alr.20067. Epub 2011 Aug 16.
6
Safety and efficacy of a novel bioabsorbable, steroid-eluting sinus stent.新型生物可吸收、载药鼻窦支架的安全性和有效性。
Int Forum Allergy Rhinol. 2011 Jan-Feb;1(1):23-32. doi: 10.1002/alr.20020. Epub 2011 Feb 8.
7
Double-blinded, randomized, controlled trial of medicated versus nonmedicated merocel sponges for functional endoscopic sinus surgery.双盲、随机、对照试验:药物治疗与非药物治疗美乐沙尔海绵在功能性内窥镜鼻窦手术中的应用比较。
J Otolaryngol Head Neck Surg. 2011 Feb;40 Suppl 1:S14-9.
8
Triamcinolone-impregnated nasal dressing following endoscopic sinus surgery: a randomized, double-blind, placebo-controlled study.经内镜鼻窦手术后应用曲安奈德浸渍的鼻腔填塞:一项随机、双盲、安慰剂对照研究。
Laryngoscope. 2010 Jun;120(6):1269-73. doi: 10.1002/lary.20905.
9
CMC packing in functional endoscopic sinus surgery: does it affect patient comfort?功能性鼻内镜鼻窦手术中的羧甲基纤维素钠填塞:它会影响患者舒适度吗?
Rhinology. 2009 Mar;47(1):36-40.
10
Prospective, double-blind, randomized trial evaluating patient satisfaction, bleeding, and wound healing using biodegradable synthetic polyurethane foam (NasoPore) as a middle meatal spacer in functional endoscopic sinus surgery.一项前瞻性、双盲、随机试验,评估在功能性鼻内镜鼻窦手术中使用可生物降解的合成聚氨酯泡沫(NasoPore)作为中鼻道间隔物时患者的满意度、出血情况及伤口愈合情况。
J Otolaryngol Head Neck Surg. 2009 Feb;38(1):112-8.