Suppr超能文献

颞叶癫痫患者白质完整性的广泛异常及其与病程的关系

Widespread abnormalities in white matter integrity and their relationship with duration of illness in temporal lobe epilepsy.

作者信息

Tsuda Kumi, Tsuji Tomikimi, Ishida Takuya, Takahashi Shun, Yamada Shinichi, Ohoshi Yuji, Terada Masaki, Shinosaki Kazuhiro, Ukai Satoshi

机构信息

Department of Neuropsychiatry Wakayama Medical University Wakayama Japan.

Mizuma Hospital Osaka Japan.

出版信息

Epilepsia Open. 2018 May 14;3(2):247-254. doi: 10.1002/epi4.12222. eCollection 2018 Jun.

Abstract

OBJECTIVE

Elucidation of abnormal connections throughout the whole brain is necessary to understand temporal lobe epilepsy (TLE). We examined abnormalities in whole-brain white matter integrity and their relationship with duration of illness in patients with TLE.

METHODS

The subjects were 15 patients with TLE and 17 healthy controls. Mean duration of illness in the TLE group was 21.6 years. Tract-based spatial statistics (TBSS) were used for diffusion tensor imaging (DTI) analysis. Four diffusion tensor metrics, that is, fractional anisotropy (FA), mean diffusivity (MD), axial diffusivity (AD), and radial diffusivity (RD) were calculated and then examined for differences between the TLE and healthy control groups. We also examined for correlations between DTI parameters and duration of illness in the TLE group.

RESULTS

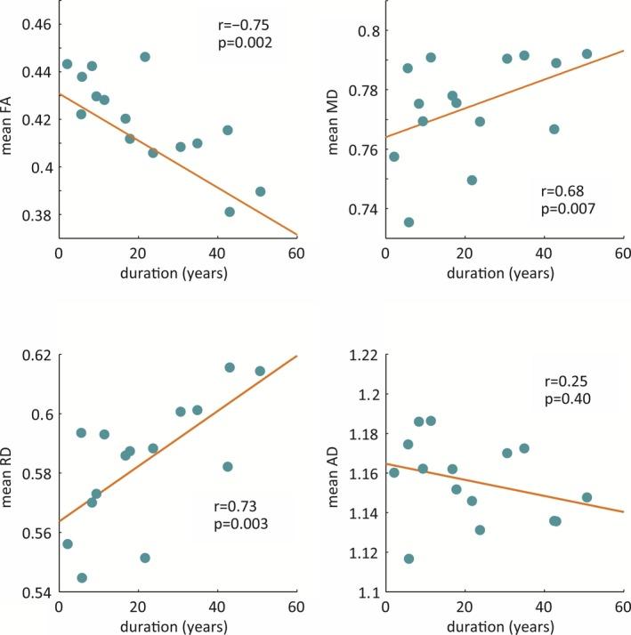
In the TLE group, compared with the healthy control group, FA was reduced, and MD and RD were increased, not only in the limbic and temporal lobe regions and their directly connecting regions in both hemispheres, but also in remote white matter regions. Duration of illness showed a significant negative correlation with mean whole-brain FA and a significant positive correlation with both mean whole-brain MD and RD. Brain regions showing correlation between disease duration and DTI metrics also extended to the limbic area and its connecting regions, and to remote white matter regions.

SIGNIFICANCE

The results of this study suggest that widespread abnormalities in white matter integrity in patients with TLE are associated with long-term disease.

摘要

目的

阐明全脑异常连接对于理解颞叶癫痫(TLE)是必要的。我们研究了TLE患者全脑白质完整性异常及其与病程的关系。

方法

受试者为15例TLE患者和17名健康对照者。TLE组的平均病程为21.6年。基于纤维束的空间统计学(TBSS)用于弥散张量成像(DTI)分析。计算四个弥散张量指标,即分数各向异性(FA)、平均扩散率(MD)、轴向扩散率(AD)和径向扩散率(RD),然后检查TLE组和健康对照组之间的差异。我们还检查了TLE组中DTI参数与病程之间的相关性。

结果

在TLE组中,与健康对照组相比,FA降低,MD和RD升高,不仅在双侧半球的边缘叶和颞叶区域及其直接连接区域,而且在远处白质区域。病程与全脑平均FA呈显著负相关,与全脑平均MD和RD均呈显著正相关。显示病程与DTI指标之间存在相关性的脑区也扩展到边缘区及其连接区域,以及远处白质区域。

意义

本研究结果表明,TLE患者白质完整性的广泛异常与疾病的长期存在有关。

https://cdn.ncbi.nlm.nih.gov/pmc/blobs/958e/5983132/fa2b65e0a3d5/EPI4-3-247-g001.jpg

文献AI研究员

20分钟写一篇综述,助力文献阅读效率提升50倍。

立即体验

用中文搜PubMed

大模型驱动的PubMed中文搜索引擎

马上搜索

文档翻译

学术文献翻译模型,支持多种主流文档格式。

立即体验