Ouyang Hongyi, Zheng Audrey Yi, Heng Paul Wan Sia, Chan Lai Wah
GEA-NUS Pharmaceutical Processing Research Laboratory, Department of Pharmacy, National University of Singapore, 18 Science Drive 4, Singapore 117543, Singapore.
Pharmaceutics. 2018 Jun 26;10(3):75. doi: 10.3390/pharmaceutics10030075.
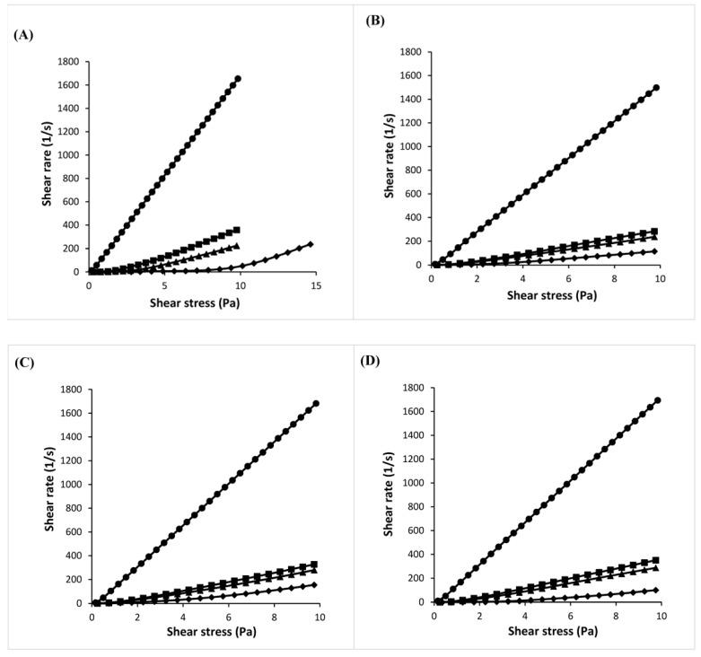
Paraffin wax is potentially useful for producing spray-congealed drug-loaded microparticles with sustained-release and taste-masking properties. To date, there is little information about the effects of blending lipids with paraffin wax on the melt viscosity. In addition, drug particles may not be entirely coated by the paraffin wax matrix. In this study, drug-loaded paraffin wax microparticles were produced by spray-congealing, and the effects of lipid additives on the microparticle production were investigated. The influence of lipid additives (stearic acid, cetyl alcohol, or cetyl esters) and drug (paracetamol) on the rheological properties of paraffin wax were elucidated. Fourier transform-infrared spectroscopy was conducted to investigate the interactions between the blend constituents. Selected formulations were spray-congealed, and the microparticles produced were characterized for their size, drug content, degree of surface drug coating, and drug release. The viscosity of wax-lipid blends was found to be mostly lower than the weighted viscosity when interactions occurred between the blend constituents. Molten paraffin wax exhibited Newtonian flow, which was transformed to plastic flow by paracetamol and pseudoplastic flow by the lipid additive. The viscosity was decreased with lipid added. Compared to plain wax, wax-lipid blends produced smaller spray-congealed microparticles. Drug content remained high. Degree of surface drug coating and drug release were also higher. The lipid additives altered the rheological properties and hydrophobicity of the melt and are useful for modifying the microparticle properties.
石蜡对于制备具有缓释和掩味特性的喷雾冷凝载药微粒可能具有实用价值。迄今为止,关于将脂质与石蜡混合对熔体粘度的影响的信息很少。此外,药物颗粒可能无法完全被石蜡基质包裹。在本研究中,通过喷雾冷凝制备了载药石蜡微粒,并研究了脂质添加剂对微粒制备的影响。阐明了脂质添加剂(硬脂酸、十六醇或十六酯)和药物(对乙酰氨基酚)对石蜡流变学性质的影响。进行了傅里叶变换红外光谱分析以研究共混物成分之间的相互作用。对选定的配方进行喷雾冷凝,并对制备的微粒的尺寸、药物含量、表面药物包衣程度和药物释放进行表征。当共混物成分之间发生相互作用时,发现蜡 - 脂质共混物的粘度大多低于加权粘度。熔融石蜡表现出牛顿流动,对乙酰氨基酚使其转变为塑性流动,脂质添加剂使其转变为假塑性流动。添加脂质后粘度降低。与纯蜡相比,蜡 - 脂质共混物产生的喷雾冷凝微粒更小。药物含量仍然很高。表面药物包衣程度和药物释放也更高。脂质添加剂改变了熔体的流变学性质和疏水性,可用于改变微粒性质。