Ho Joan K, White Paul J, Pouton Colin W
Drug Delivery, Disposition and Dynamics, Monash Institute of Pharmaceutical Sciences, Monash University (Parkville Campus), Melbourne, VIC, Australia.
Drug Discovery Biology, Monash Institute of Pharmaceutical Sciences, Monash University (Parkville Campus), Melbourne, VIC, Australia.
Mol Ther Nucleic Acids. 2018 Sep 7;12:504-517. doi: 10.1016/j.omtn.2018.05.025. Epub 2018 Jul 18.
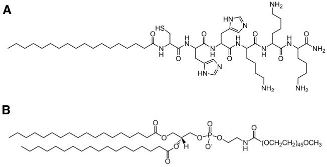
Delivery of plasmids for gene expression in vivo is an inefficient process that requires improvement and optimization to unlock the clinical potential of DNA vaccines. With ease of manufacture and biocompatibility in mind, we explored condensation of DNA in aqueous solution with a self-crosslinking, endosome-escaping lipopeptide (LP), stearoyl-Cys-His-His-Lys-Lys-Lys-amide (stearoyl-CHK), to produce cationic LP/DNA complexes. To test whether poly(ethylene glycol) (PEG)-ylation of these cationic complexes to neutralize the surface charge would improve the distribution, gene expression, and immune responses poly(ethylene glycol), these LP/DNA complexes were combined with 1,2-distearoyl-sn-glycero-3-phosphoethanolamine-N-[methoxy(polyethylene glycol)-2000] (DSPE-PEG). Fluorescence imaging illustrated that the cationic complexes exhibited the highest degree of localization and lowest degree of dispersion throughout the injected muscle, suggesting impaired mobility of cationic particles upon administration. Nanoluciferase reporter assays over a 90-day period demonstrated that gene expression levels in muscle were highest for PEGylated particles, with over a 200-fold higher level of expression than the cationic particles observed at 30 days. Humoral and cell-mediated immune responses were evaluated in vivo after injection of an ovalbumin expression plasmid. PEGylation improved both immune responses to the DNA complexes in mice. Overall, this suggests that PEGylation of cationic lipopeptide complexes can significantly improve both the transgene expression and immunogenicity of intramuscular DNA vaccines.
在体内进行基因表达的质粒递送是一个低效的过程,需要改进和优化以释放DNA疫苗的临床潜力。考虑到易于制造和生物相容性,我们探索了用一种自交联、可逃逸内体的脂肽(LP),即硬脂酰 - 半胱氨酸 - 组氨酸 - 组氨酸 - 赖氨酸 - 赖氨酸 - 赖氨酸 - 酰胺(硬脂酰 - CHK),在水溶液中使DNA凝聚,以产生阳离子LP/DNA复合物。为了测试对这些阳离子复合物进行聚乙二醇(PEG)化以中和表面电荷是否会改善分布、基因表达和免疫反应,将这些LP/DNA复合物与1,2 - 二硬脂酰 - sn - 甘油 - 3 - 磷酸乙醇胺 - N - [甲氧基(聚乙二醇)- 2000](DSPE - PEG)结合。荧光成像表明,阳离子复合物在整个注射肌肉中表现出最高程度的定位和最低程度的分散,表明给药后阳离子颗粒的移动性受损。在90天内进行的纳米荧光素酶报告基因检测表明,肌肉中的基因表达水平对于聚乙二醇化颗粒最高,在30天时观察到的表达水平比阳离子颗粒高出200倍以上。在注射卵清蛋白表达质粒后,在体内评估了体液和细胞介导的免疫反应。聚乙二醇化改善了小鼠对DNA复合物的两种免疫反应。总体而言,这表明阳离子脂肽复合物的聚乙二醇化可以显著提高肌肉内DNA疫苗的转基因表达和免疫原性。