Suppr超能文献

双(1,2,3-三氮唑)功能化喹啉-2,4-二酮的合成。

Synthesis of Bis(1,2,3-Triazole) Functionalized Quinoline-2,4-Diones.

机构信息

Department of Chemistry, Faculty of Technology, Tomas Bata University in Zlin, 760 01 Zlin, Czech Republic.

Faculty of Chemistry and Chemical Technology, University of Ljubljana, SI-1000 Ljubljana, Slovenia.

出版信息

Molecules. 2018 Sep 10;23(9):2310. doi: 10.3390/molecules23092310.

Abstract

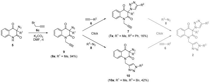
Derivatives of 3-(1-1,2,3-triazol-1-yl)quinoline-2,4(1,3)-dione unsubstituted on quinolone nitrogen atom, which are available by the previously described four step synthesis starting from aniline, were exploited as intermediates in obtaining the title compounds. The procedure involves the introduction of propargyl group onto the quinolone nitrogen atom of mentioned intermediates by the reaction of them with propargyl bromide in ,-dimethylformamide (DMF) in presence of a potassium carbonate and the subsequent formation of a second triazole ring by copper catalyzed cyclisation reaction with azido compounds. The products were characterized by ¹H, C and N NMR spectroscopy. The corresponding resonances were assigned on the basis of the standard 1D and gradient selected 2D NMR experiments (¹H⁻¹H gs-COSY, ¹H⁻C gs-HSQC, ¹H⁻C gs-HMBC) with ¹H⁻N gs-HMBC as a practical tool to determine N NMR chemical shifts at the natural abundance level of N isotope.

摘要

3-(1-1,2,3-三唑-1-基)喹啉-2,4(1,3)-二酮的衍生物,其喹啉氮原子上未取代,可通过前文所述的从苯胺开始的四步合成法获得,被用作获得标题化合物的中间体。该方法涉及将炔丙基溴与所述中间体在 -二甲基甲酰胺(DMF)中反应,在碳酸钾存在下将炔丙基基团引入到喹啉氮原子上,随后通过与叠氮化合物的铜催化环化反应形成第二个三唑环。产物通过 ¹H、C 和 N NMR 光谱进行表征。相应的共振峰基于标准的 1D 和梯度选择 2D NMR 实验(¹H-¹H gs-COSY、¹H-¹H gs-HSQC、¹H-¹H gs-HMBC)以及 ¹H-¹H gs-HMBC 来分配,¹H-¹H gs-HMBC 是一种用于在 N 同位素自然丰度水平下确定 N NMR 化学位移的实用工具。

https://cdn.ncbi.nlm.nih.gov/pmc/blobs/a241/6225383/4fd0806561d0/molecules-23-02310-g001.jpg

文献AI研究员

20分钟写一篇综述,助力文献阅读效率提升50倍。

立即体验

用中文搜PubMed

大模型驱动的PubMed中文搜索引擎

马上搜索

文档翻译

学术文献翻译模型,支持多种主流文档格式。

立即体验