Suppr超能文献

伴有腭心面综合征的不平衡易位t(15;22)(q26.2;q12):一例报告并文献复习

unbalanced translocation t(15;22)(q26.2;q12) with velo-cardio-facial syndrome: A case report and review of the literature.

作者信息

Gug Cristina, Huțanu Delia, Vaida Monica, Doroş Gabriela, Popa Cristina, Stroescu Ramona, Furău Gheorghe, Furău Cristian, Grigoriță Laura, Mozos Ioana

机构信息

Department of Microscopic Morphology, Victor Babeș University of Medicine and Pharmacy, 300041 Timisoara, Romania.

Department of Biology, Chemistry-Biology-Geography Faculty, West University Timisoara, 300115 Timisoara, Romania.

出版信息

Exp Ther Med. 2018 Oct;16(4):3589-3595. doi: 10.3892/etm.2018.6609. Epub 2018 Aug 16.

Abstract

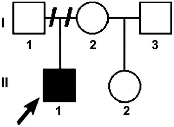
The present study reports the case of a 3-h old male with a unbalanced t(15;22) translocation and velo-cardio-facial syndrome (VCFS), with other abnormalities. The manifestations of the condition observed in the patient included cleft palate with feeding difficulties, respiratory infection, dysmorphic face with almond-shaped eyes, a long and wide nose, small and low-set ears, tetralogy of Fallot, cryptorchidism and varus equinus. Standard lymphocyte cytogenetic analysis using G-banding demonstrated a 45,XY,-22,der (15),t(15;22)(q26.2;q12) karyotype. Fluorescent hybridization with DiGeorge/VCFS TUPLE 1 confirmed 22q11 deletions. These cytogenetic aspects appear to be rare in the etiology of VCFS, as >1% of all 22q11 deletions are the result of an unbalanced translocation, which involves chromosomes 22 and another chromosome. To the best of our knowledge, this is the second reported case where the clinical features associated with VCFS are combined with an unbalanced (15;22) translocation involving the critical 22q11.2 region.

摘要

本研究报告了一名3小时大的男性病例,该患儿患有不平衡的t(15;22)易位和腭心面综合征(VCFS),伴有其他异常。在该患者中观察到的病症表现包括腭裂伴喂养困难、呼吸道感染、面容畸形,有杏仁状眼睛、长而宽的鼻子、小且低位的耳朵、法洛四联症、隐睾和马蹄内翻足。使用G显带的标准淋巴细胞细胞遗传学分析显示核型为45,XY,-22,der(15),t(15;22)(q26.2;q12)。用DiGeorge/VCFS TUPLE 1进行荧光杂交证实了22q11缺失。这些细胞遗传学方面在VCFS的病因中似乎很罕见,因为所有22q11缺失中>1%是不平衡易位的结果,该易位涉及22号染色体和另一条染色体。据我们所知,这是第二例报道的病例,其中与VCFS相关的临床特征与涉及关键22q11.2区域的不平衡(15;22)易位相结合。

https://cdn.ncbi.nlm.nih.gov/pmc/blobs/d674/6143868/580ddb0fd823/etm-16-04-3589-g00.jpg

相似文献

1
unbalanced translocation t(15;22)(q26.2;q12) with velo-cardio-facial syndrome: A case report and review of the literature.
Exp Ther Med. 2018 Oct;16(4):3589-3595. doi: 10.3892/etm.2018.6609. Epub 2018 Aug 16.
3
Deletions and microdeletions of 22q11.2 in velo-cardio-facial syndrome.
Am J Med Genet. 1992 Sep 15;44(2):261-8. doi: 10.1002/ajmg.1320440237.
4
Unbalanced 3;22 translocation with 22q11 and 3p deletion syndrome.
Am J Med Genet A. 2010 Nov;152A(11):2791-5. doi: 10.1002/ajmg.a.33249.
5
De novo Unbalanced 1;22 Translocation with 22q11 Deletion Syndrome.
Cytogenet Genome Res. 2019;158(1):32-37. doi: 10.1159/000497173. Epub 2019 Feb 16.
7
Unbalanced 15;22 translocation in a patient with manifestations of DiGeorge and velocardiofacial syndrome.
Am J Med Genet. 1997 May 2;70(1):6-10. doi: 10.1002/(sici)1096-8628(19970502)70:1<6::aid-ajmg2>3.0.co;2-z.
9
Velo-cardio-facial syndrome: frequency and extent of 22q11 deletions.
Am J Med Genet. 1995 Jul 3;57(3):514-22. doi: 10.1002/ajmg.1320570339.

本文引用的文献

1
Compound phenotype in a girl with r(22), concomitant microdeletion 22q13.32-q13.33 and mosaic monosomy 22.
Mol Cytogenet. 2018 Apr 27;11:26. doi: 10.1186/s13039-018-0375-3. eCollection 2018.
2
22q11.2 Deletion Syndrome due to a Translocation t(6;22) in a Patient Conceived via in vitro Fertilization.
Mol Syndromol. 2016 Feb;6(5):242-7. doi: 10.1159/000441243. Epub 2015 Nov 14.
4
Fanconi anemia with cleft palate.
Rev Med Chir Soc Med Nat Iasi. 2014 Oct-Dec;118(4):1074-7.
7
Unbalanced 3;22 translocation with 22q11 and 3p deletion syndrome.
Am J Med Genet A. 2010 Nov;152A(11):2791-5. doi: 10.1002/ajmg.a.33249.
8
Velo-Cardio-Facial Syndrome.
J Ment Health Res Intellect Disabil. 2009 Apr;2(2):149-167. doi: 10.1080/19315860902756136.
10
Velo-cardio-facial syndrome.
Curr Opin Pediatr. 2005 Dec;17(6):725-30. doi: 10.1097/01.mop.0000184465.73833.0b.

文献AI研究员

20分钟写一篇综述,助力文献阅读效率提升50倍。

立即体验

用中文搜PubMed

大模型驱动的PubMed中文搜索引擎

马上搜索

文档翻译

学术文献翻译模型,支持多种主流文档格式。

立即体验