Suppr超能文献

FOLFIRI方案联合阿柏西普用于既往接受过治疗的转移性结直肠癌患者。

FOLFIRI3-aflibercept in previously treated patients with metastatic colorectal cancer.

作者信息

Carola Candice, Ghiringhelli François, Kim Stefano, André Thierry, Barlet Juliette, Bengrine-Lefevre Leïla, Marijon Hélène, Garcia-Larnicol Marie-Line, Borg Christophe, Dainese Linda, Steuer Nils, Richa Hubert, Benetkiewicz Magdalena, Larsen Annette K, de Gramont Aimery, Chibaudel Benoist

机构信息

Department of Medical Oncology, Franco-British Institute, Levallois-Perret 92300, France.

Department of Medical Oncology, Centre George François Leclerc, Dijon 21000, France.

出版信息

World J Clin Oncol. 2018 Sep 14;9(5):110-118. doi: 10.5306/wjco.v9.i5.110.

Abstract

AIM

To evaluate the efficacy and safety of the modified FOLFIRI3-aflibercept as second-line therapy in patients with metastatic colorectal cancer.

METHODS

This is a retrospective multicenter cohort, evaluating the efficacy and safety of the association of aflibercept with FOLFIRI3 (day 1: aflibercept 4 mg/kg, folinic acid 400 mg/m, irinotecan 90 mg/m, 5-fluorouracil infusion 2400 mg/m per 46 h; day 3: irinotecan 90 mg/m) in patients with previously treated metastatic colorectal cancer. The primary endpoint was overall response rate (ORR). Secondary endpoints were disease control rate (DCR), progression-free survival (PFS), overall survival (OS), and safety.

RESULTS

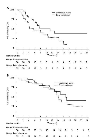
Among 74 patients treated in four French centers, nine were excluded due to prior use of aflibercept ( = 3), more than one prior treatment line in irinotecan-naïve patients ( = 3), and inadequate liver function ( = 3). In the "irinotecan-naïve" patients ( = 30), ORR was 43.3% and DCR was 76.7%. Median PFS and OS were 11.3 mo (95%CI: 6.1-29.0) and 17.0 mo (95%CI: 13.0-17.3), respectively. The most common (> 5%) grade 3-4 adverse events were diarrhea (37.9%), neutropenia (14.3%), stomatitis and anemia (10.4%), and hypertension (6.7%). In the "pre-exposed irinotecan" patients ( = 35), 20 (57.1%) received ≥ 2 prior lines of treatment. ORR was 34.3% and DCR was 60.0%. Median PFS and OS were 5.7 mo (95%CI: 3.9-10.4) and 14.3 mo (95%CI: 12.8-19.5), respectively.

CONCLUSION

Minimally modified FOLFIRI has improvement dramatically the FOLFIRI3-aflibercept efficacy, whatever prior use of irinotecan. A prospective randomized trial is warranted to compare FOLFIRI-aflibercept to FOLFIRI3-aflibercept.

摘要

目的

评估改良的FOLFIRI3联合阿柏西普作为转移性结直肠癌患者二线治疗的疗效和安全性。

方法

这是一项回顾性多中心队列研究,评估阿柏西普与FOLFIRI3联合用药(第1天:阿柏西普4mg/kg、亚叶酸钙400mg/m²、伊立替康90mg/m²、5-氟尿嘧啶每46小时输注2400mg/m²;第3天:伊立替康90mg/m²)在既往接受过治疗的转移性结直肠癌患者中的疗效和安全性。主要终点为总缓解率(ORR)。次要终点为疾病控制率(DCR)、无进展生存期(PFS)、总生存期(OS)和安全性。

结果

在法国四个中心接受治疗的74例患者中,9例因先前使用过阿柏西普(n = 3)、伊立替康初治患者接受过超过一线的先前治疗(n = 3)以及肝功能不全(n = 3)而被排除。在“伊立替康初治”患者(n = 30)中,ORR为43.3%,DCR为76.7%。PFS和OS的中位数分别为11.3个月(95%CI:6.1 - 29.0)和17.0个月(95%CI:13.0 - 17.3)。最常见的(>5%)3 - 4级不良事件为腹泻(37.9%)、中性粒细胞减少(14.3%)、口腔炎和贫血(10.4%)以及高血压(6.7%)。在“曾接受伊立替康治疗”的患者(n = 35)中,20例(57.1%)接受过≥2线的先前治疗。ORR为34.3%,DCR为60.0%。PFS和OS的中位数分别为5.7个月(95%CI:3.9 - 10.4)和14.3个月(95%CI:12.8 - 19.5)。

结论

无论先前是否使用过伊立替康,改良后的FOLFIRI显著提高了FOLFIRI3联合阿柏西普的疗效。有必要进行一项前瞻性随机试验,比较FOLFIRI联合阿柏西普与FOLFIRI3联合阿柏西普的疗效。

https://cdn.ncbi.nlm.nih.gov/pmc/blobs/c4e4/6153125/512a798796e3/WJCO-9-110-g001.jpg

文献AI研究员

20分钟写一篇综述,助力文献阅读效率提升50倍。

立即体验

用中文搜PubMed

大模型驱动的PubMed中文搜索引擎

马上搜索

文档翻译

学术文献翻译模型,支持多种主流文档格式。

立即体验