• 文献检索
  • 文档翻译
  • 深度研究
  • 学术资讯
  • Suppr Zotero 插件Zotero 插件
  • 邀请有礼
  • 套餐&价格
  • 历史记录
应用&插件
Suppr Zotero 插件Zotero 插件浏览器插件Mac 客户端Windows 客户端微信小程序
定价
高级版会员购买积分包购买API积分包
服务
文献检索文档翻译深度研究API 文档MCP 服务
关于我们
关于 Suppr公司介绍联系我们用户协议隐私条款
关注我们

Suppr 超能文献

核心技术专利:CN118964589B侵权必究
粤ICP备2023148730 号-1Suppr @ 2026

文献检索

告别复杂PubMed语法,用中文像聊天一样搜索,搜遍4000万医学文献。AI智能推荐,让科研检索更轻松。

立即免费搜索

文件翻译

保留排版,准确专业,支持PDF/Word/PPT等文件格式,支持 12+语言互译。

免费翻译文档

深度研究

AI帮你快速写综述,25分钟生成高质量综述,智能提取关键信息,辅助科研写作。

立即免费体验

影响正常青春期前儿童身高增长速度的因素。

Factors affecting height velocity in normal prepubertal children.

作者信息

Lee Jun Hui, Kim Seul Ki, Lee Eun Kyoung, Ahn Moon Bae, Kim Shin Hee, Cho Won Kyoung, Cho Kyoung Soon, Jung Min Ho, Suh Byung Kyu

机构信息

Department of Pediatrics, College of Medicine, The Catholic University of Korea, Seoul, Korea.

出版信息

Ann Pediatr Endocrinol Metab. 2018 Sep;23(3):148-153. doi: 10.6065/apem.2018.23.3.148. Epub 2018 Sep 28.

DOI:10.6065/apem.2018.23.3.148
PMID:30286571
原文链接:https://pmc.ncbi.nlm.nih.gov/articles/PMC6177663/
Abstract

PURPOSE

To analyze the effects of clinical and laboratory factors, including insulinlike growth factor (IGF) levels, on the height velocity of normal prepubertal children.

METHODS

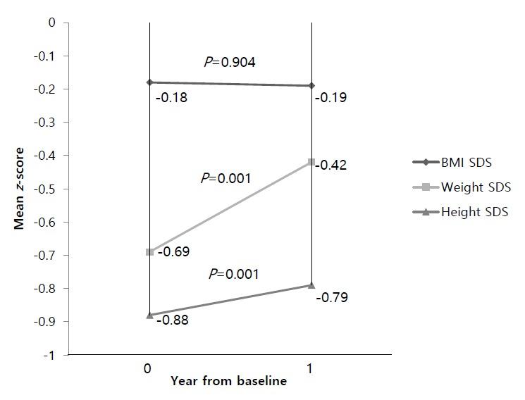
Ninety-five healthy prepubertal children (33 boys, 62 girls) were enrolled. The mean chronological age was 6.3±1.4 years, with a height standard deviation score (SDS) of -0.88±0.70. IGF-1, IGF binding protein-3 (IGFBP-3), SDS for anthropometric measurements, and changes in SDS for anthropometric measurements were analyzed for 1 year, and their associations with 1-year height velocity were investigated.

RESULTS

The group of children with a 1-year height velocity of ≥6 cm were chronologically younger than the group with a 1-year height velocity of <6 cm (5.9±1.3 years vs. 6.7±1.3 years, P=0.004), with a lesser increase of SDS for body mass index (BMI) over 1 year (-0.18±0.68 vs. 0.13±0.53, P=0.014). There were no differences between the 2 groups in IGF-1 SDS and IGFBP-3 SDS. Multiple linear regression showed that baseline chronological age (r=0.243, P=0.026) and height SDS (r=0.236, P=0.030) were positively associated with IGF-1 SDS. Binomial logistic regression showed that an older chronologic age at referral (odds ratio [OR], 0.68; 95% confidence interval [CI], 0.47-0.99) and an increase of BMI SDS over 1 year (OR, 0.41; 95% CI, 0.18-0.89) were associated with a decreased growth possibility of an above-average height velocity (≥6 cm/yr).

CONCLUSION

Height velocity of normal prepubertal children is affected by an increase of BMI SDS and chronological age. Prepubertal IGF-1 SDS reflects height SDS at the time of measurement but is not associated with subsequent height velocity.

摘要

目的

分析包括胰岛素样生长因子(IGF)水平在内的临床和实验室因素对正常青春期前儿童身高增长速度的影响。

方法

纳入95名健康的青春期前儿童(33名男孩,62名女孩)。平均实足年龄为6.3±1.4岁,身高标准差评分(SDS)为-0.88±0.70。对IGF-1、胰岛素样生长因子结合蛋白-3(IGFBP-3)、人体测量指标的SDS以及人体测量指标SDS在1年内的变化进行分析,并研究它们与1年身高增长速度的相关性。

结果

1年身高增长速度≥6 cm的儿童组实足年龄比1年身高增长速度<6 cm的儿童组小(5.9±1.3岁 vs. 6.7±1.3岁,P=0.004),1年内体重指数(BMI)SDS的增加幅度较小(-0.18±0.68 vs. 0.13±0.53,P=0.014)。两组在IGF-1 SDS和IGFBP-3 SDS方面无差异。多元线性回归显示,基线实足年龄(r=0.243,P=0.026)和身高SDS(r=0.236,P=0.030)与IGF-1 SDS呈正相关。二项逻辑回归显示,转诊时实足年龄较大(比值比[OR],0.68;95%置信区间[CI],0.47-0.99)以及1年内BMI SDS增加(OR,0.41;95% CI,0.18-0.89)与身高增长速度高于平均水平(≥6 cm/年)的生长可能性降低有关。

结论

正常青春期前儿童的身高增长速度受BMI SDS增加和实足年龄的影响。青春期前IGF-1 SDS反映测量时的身高SDS,但与随后的身高增长速度无关。

https://cdn.ncbi.nlm.nih.gov/pmc/blobs/c4b4/6177663/56f64800d3ea/apem-2018-23-3-148f2.jpg
https://cdn.ncbi.nlm.nih.gov/pmc/blobs/c4b4/6177663/048c8fbc793c/apem-2018-23-3-148f1.jpg
https://cdn.ncbi.nlm.nih.gov/pmc/blobs/c4b4/6177663/56f64800d3ea/apem-2018-23-3-148f2.jpg
https://cdn.ncbi.nlm.nih.gov/pmc/blobs/c4b4/6177663/048c8fbc793c/apem-2018-23-3-148f1.jpg
https://cdn.ncbi.nlm.nih.gov/pmc/blobs/c4b4/6177663/56f64800d3ea/apem-2018-23-3-148f2.jpg

相似文献

1
Factors affecting height velocity in normal prepubertal children.影响正常青春期前儿童身高增长速度的因素。
Ann Pediatr Endocrinol Metab. 2018 Sep;23(3):148-153. doi: 10.6065/apem.2018.23.3.148. Epub 2018 Sep 28.
2
Changes in serum insulin-like growth factor I (IGF-I) and IGF-binding protein-3 levels during growth hormone treatment in prepubertal short children born small for gestational age.小于胎龄儿青春期前矮小儿童生长激素治疗期间血清胰岛素样生长因子I(IGF-I)和IGF结合蛋白-3水平的变化
J Clin Endocrinol Metab. 1996 Nov;81(11):3902-8. doi: 10.1210/jcem.81.11.8923836.
3
IGF-I and IGF binding protein-3 levels during initial GH dosage step-up are indicators of GH sensitivity in GH-deficient children and short children born small for gestational age.在初始生长激素剂量逐步增加期间,胰岛素样生长因子-I(IGF-I)和胰岛素样生长因子结合蛋白-3(IGF binding protein-3)水平是生长激素缺乏儿童和小于胎龄儿出生的矮小儿童生长激素敏感性的指标。
Horm Res. 2005;64(2):68-76. doi: 10.1159/000087692. Epub 2005 Aug 19.
4
Serum levels of type I procollagen C-terminal propeptide, insulin-like growth factor-I (IGF-I), and IGF binding protein-3 in obese children and adolescents: relationship to gender, pubertal development, growth, insulin, and nutritional status.肥胖儿童和青少年血清I型前胶原C端前肽、胰岛素样生长因子-I(IGF-I)及IGF结合蛋白-3水平:与性别、青春期发育、生长、胰岛素及营养状况的关系
Metabolism. 1997 Aug;46(8):862-71. doi: 10.1016/s0026-0495(97)90071-8.
5
Growth response to rhIGF-I 80 microg/kg twice daily in children with growth hormone insensitivity syndrome: relationship to severity of clinical phenotype.生长激素不敏感综合征患儿每日两次皮下注射80微克/千克重组人胰岛素样生长因子-1的生长反应:与临床表型严重程度的关系
Clin Endocrinol (Oxf). 1999 Dec;51(6):787-92. doi: 10.1046/j.1365-2265.1999.00887.x.
6
Insulin-like growth factor (IGF)-I and -II and IGF-binding proteins-1, -2, and -3 in children and adolescents with diabetes mellitus: correlation with metabolic control and height attainment.糖尿病儿童和青少年中的胰岛素样生长因子(IGF)-I、-II以及IGF结合蛋白-1、-2和-3:与代谢控制和身高增长的相关性
J Clin Endocrinol Metab. 1995 Apr;80(4):1207-13. doi: 10.1210/jcem.80.4.7536202.
7
Relation between changes in weight parameters and height parameters in prepubertal children: daily weight gain and BMIi changes in relation to linear growth during nutritional rehabilitation of underweight children.青春期前儿童体重参数与身高参数变化之间的关系:体重不足儿童营养康复期间每日体重增加及体质指数标准差评分变化与线性生长的关系
Acta Biomed. 2019 Sep 23;90(8-S):7-19. doi: 10.23750/abm.v90i8-S.8516.
8
Growth hormone (GH) dose-dependent IGF-I response relates to pubertal height gain.生长激素(GH)剂量依赖性的胰岛素样生长因子-I(IGF-I)反应与青春期身高增长有关。
BMC Endocr Disord. 2015 Dec 18;15:84. doi: 10.1186/s12902-015-0080-8.
9
Is insulin-like growth factor-1 monitoring useful in assessing the response to growth hormone of growth hormone-deficient children?胰岛素样生长因子-1监测对评估生长激素缺乏儿童对生长激素的反应是否有用?
J Pediatr. 2002 Nov;141(5):606-10. doi: 10.1067/mpd.2002.127662.
10
Changes in serum IGF-I and IGFBP-3 concentrations during the IGF-I generation test performed prospectively in children with short stature.在对身材矮小儿童进行的前瞻性IGF-I生成试验期间血清IGF-I和IGFBP-3浓度的变化。
Clin Endocrinol (Oxf). 1998 Jun;48(6):719-24. doi: 10.1046/j.1365-2265.1998.00407.x.

引用本文的文献

1
Growth and Adult Height during Human Growth Hormone Treatment in Chinese Children with Multiple Pituitary Hormone Deficiency Caused by Pituitary Stalk Interruption Syndrome: A Single Centre Study.垂体柄中断综合征所致多种垂体激素缺乏的中国儿童生长激素治疗期间的生长及成人身高:一项单中心研究
J Clin Res Pediatr Endocrinol. 2020 Mar 19;12(1):71-78. doi: 10.4274/jcrpe.galenos.2019.2019.0086. Epub 2019 Sep 2.

本文引用的文献

1
Pubertal height gain is inversely related to peak BMI in childhood.青春期身高增长与儿童期BMI峰值呈负相关。
Pediatr Res. 2017 Mar;81(3):448-454. doi: 10.1038/pr.2016.253. Epub 2016 Nov 18.
2
Effect of Nutritional Supplementation on Growth in Short and Lean Prepubertal Children after 1 Year of Intervention.营养补充对矮小且消瘦的青春期前儿童干预1年后生长情况的影响。
J Pediatr. 2016 Dec;179:154-159.e1. doi: 10.1016/j.jpeds.2016.08.100. Epub 2016 Sep 30.
3
Bone age: assessment methods and clinical applications.骨龄:评估方法与临床应用
Clin Pediatr Endocrinol. 2015 Oct;24(4):143-52. doi: 10.1297/cpe.24.143. Epub 2015 Oct 24.
4
The relationship between Insulin-like Growth Factor 1, sex steroids and timing of the pubertal growth spurt.胰岛素样生长因子1、性类固醇与青春期生长突增时间之间的关系。
Clin Endocrinol (Oxf). 2015 Jun;82(6):862-9. doi: 10.1111/cen.12682. Epub 2015 Jan 8.
5
Analysis of the relationship of insulin-like growth factor-1 to the growth velocity and feeding of healthy infants.胰岛素样生长因子-1与健康婴儿生长速度及喂养关系的分析。
Growth Horm IGF Res. 2013 Dec;23(6):215-9. doi: 10.1016/j.ghir.2013.08.001. Epub 2013 Aug 13.
6
Reference values for serum levels of insulin-like growth factor-I and insulin-like growth factor binding protein-3 in Korean children and adolescents.韩国儿童和青少年血清胰岛素样生长因子-I 和胰岛素样生长因子结合蛋白-3 水平的参考值。
Clin Biochem. 2012 Jan;45(1-2):16-21. doi: 10.1016/j.clinbiochem.2011.10.003. Epub 2011 Oct 12.
7
Losing the war against obesity: the need for a developmental perspective.在肥胖战争中败下阵来:需要发展的视角。
Sci Transl Med. 2011 Jul 27;3(93):93cm19. doi: 10.1126/scitranslmed.3002554.
8
Birthweight and mortality in adulthood: a systematic review and meta-analysis.出生体重与成年期死亡率:系统评价与荟萃分析。
Int J Epidemiol. 2011 Jun;40(3):647-61. doi: 10.1093/ije/dyq267. Epub 2011 Feb 15.
9
The effect of GH and IGF1 on linear growth and skeletal development and their modulation by SOCS proteins.生长激素(GH)和胰岛素样生长因子 1(IGF1)对线性生长和骨骼发育的影响及其受 SOCS 蛋白的调节。
J Endocrinol. 2010 Sep;206(3):249-59. doi: 10.1677/JOE-10-0045. Epub 2010 Jul 14.
10
Variable degree of growth hormone (GH) and insulin-like growth factor (IGF) sensitivity in children with idiopathic short stature compared with GH-deficient patients: evidence from an IGF-based dosing study of short children.特发性身材矮小患儿与生长激素缺乏症患儿的生长激素(GH)和胰岛素样生长因子(IGF)敏感性存在不同程度的变化:基于 IGF 的剂量研究对矮小儿童的证据。
J Clin Endocrinol Metab. 2010 May;95(5):2089-98. doi: 10.1210/jc.2009-2139. Epub 2010 Mar 5.