Suppr超能文献

桑科植物水提取物和7-甲氧基香豆素对去卵巢Wistar大鼠东莨菪碱诱导的空间记忆损伤的影响

Effects of (Moraceae) Aqueous Extract and 7-Methoxycoumarin on Scopolamine-Induced Spatial Memory Impairment in Ovariectomized Wistar Rats.

作者信息

Zingue Stéphane, Foyet Harquin Simplice, Djiogue Sefirin, Ezo'o Ezo'o Yannick, Abaïssou Hervé Hervé Ngatanko, Fachagbo Pafroumi, Njamen Dieudonné

机构信息

Department of Life and Earth Sciences, Higher Teachers' Training College, University of Maroua, P.O. Box 55, Maroua, Cameroon.

Department of Animal Biology and Physiology, Faculty of Science, University of Yaoundé 1, P.O. Box 812, Yaoundé, Cameroon.

出版信息

Behav Neurol. 2018 Sep 30;2018:5751864. doi: 10.1155/2018/5751864. eCollection 2018.

Abstract

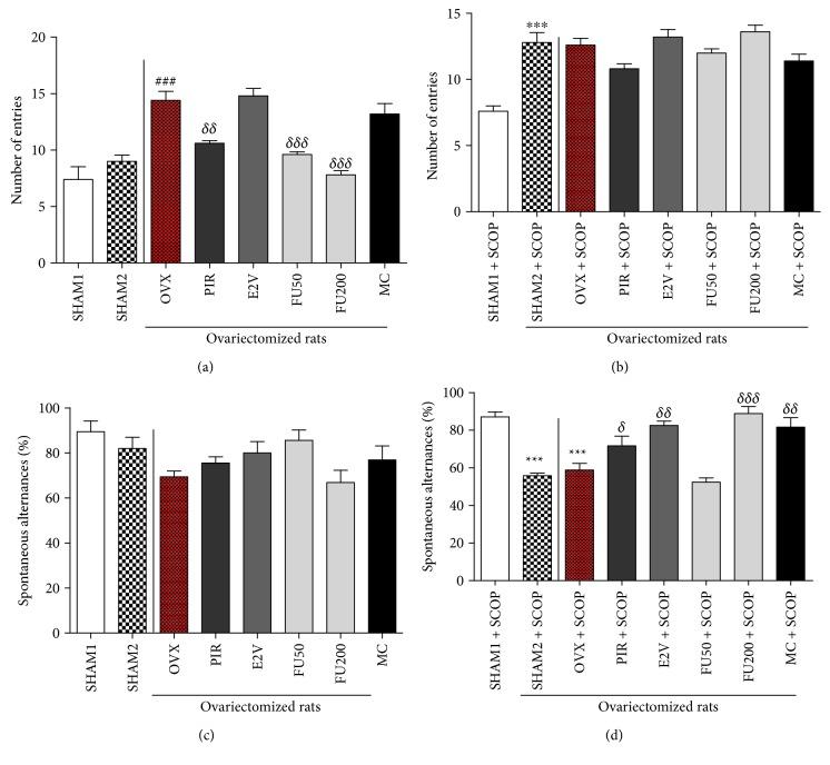
The present work was undertaken to evaluate the ability of aqueous extract and its major component 7-methoxycoumarin (MC) to improve scopolamine-induced spatial memory impairment in ovariectomized Wistar rats. For this to be done, 10 sham-operated and 30 postmenopausal-like rats were randomly distributed in eight groups ( = 5) and treated with distilled water (2 mL/250 g), estradiol valerate (1 mg/kg BW), piracetam (1.5 mg/kg BW), aqueous extract (50 and 200 mg/kg BW), or MC (1 mg/kg BW) for 21 consecutive days. Before and after the memory impairment with scopolamine (2 mg/kg BW), animals underwent behavioral evaluations on Y- and radial mazes. As results, age and ovariectomy did not induce significant changes in the reference memory errors. While age decreased working memory errors, ovariectomy increased it. The MC as well as extract significantly increased ( < 0.01) the percentage of spontaneous alternation and decreased ( < 0.001) working and spatial reference memory errors and anxiety parameters (rearing and grooming) in ovariectomized rats. MC significantly reduced ( < 0.05) the MDA level, but resulted in an increase in GSH level in brain homogenates. These results suggest that MC is endowed with neuroprotective effects and could account for the neuroprotective effects of in rats.

摘要

本研究旨在评估水提取物及其主要成分7-甲氧基香豆素(MC)改善东莨菪碱诱导的去卵巢Wistar大鼠空间记忆障碍的能力。为此,将10只假手术大鼠和30只绝经后样大鼠随机分为八组(每组n = 5),并连续21天用蒸馏水(2 mL/250 g)、戊酸雌二醇(1 mg/kg体重)、吡拉西坦(1.5 mg/kg体重)、水提取物(50和200 mg/kg体重)或MC(1 mg/kg体重)进行处理。在用东莨菪碱(2 mg/kg体重)造成记忆损伤前后,动物在Y迷宫和放射状迷宫上接受行为评估。结果显示,年龄和去卵巢并未引起参考记忆错误的显著变化。虽然年龄降低了工作记忆错误,但去卵巢却增加了工作记忆错误。MC以及提取物显著提高了(P < 0.01)去卵巢大鼠的自发交替百分比,并降低了(P < 0.001)工作记忆和空间参考记忆错误以及焦虑参数(竖毛和理毛)。MC显著降低了(P < 0.05)脑匀浆中的丙二醛水平,但导致谷胱甘肽水平升高。这些结果表明,MC具有神经保护作用,可能是提取物在大鼠中发挥神经保护作用的原因。

https://cdn.ncbi.nlm.nih.gov/pmc/blobs/1c00/6186347/21d3006dd70c/BN2018-5751864.001.jpg

文献AI研究员

20分钟写一篇综述,助力文献阅读效率提升50倍。

立即体验

用中文搜PubMed

大模型驱动的PubMed中文搜索引擎

马上搜索

文档翻译

学术文献翻译模型,支持多种主流文档格式。

立即体验