Sardi Claudia, Garetto Stefano, Capone Laura, Galbiati Valentina, Racchi Marco, Govoni Stefano, Giovagnoni Emiliano, Lucci Jacopo
Natural Bio-Medicine S.p.A, Arezzo, Italy.
Aboca S.p.A, Società Agricola, Arezzo, Italy.
Front Pharmacol. 2018 Dec 7;9:1410. doi: 10.3389/fphar.2018.01410. eCollection 2018.
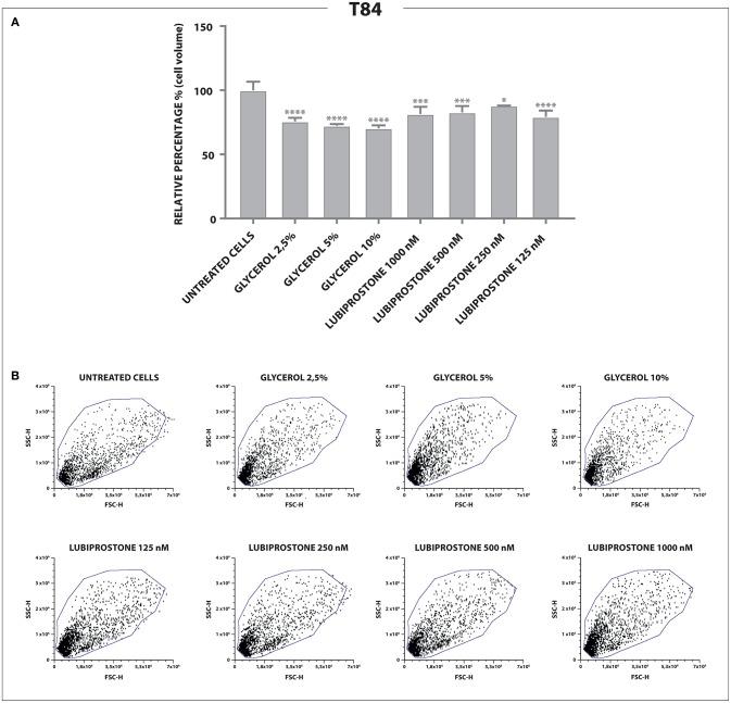
The evolution of medical devices has led to the introduction of medical devices that include "substances" and which, due to their presentation and sites of application may resemble medicinal products. The difference between substance-based medical devices and medicinal products lies in the proper definition of the principal mechanism of action. The major problem at the moment is the lack of a proper procedure for the demonstration of a mechanism that is "not pharmacological, immunological or metabolic." We aimed to design an experimental set up to demonstrate the difference between the mechanism of action of two substances used commonly for the treatment of constipation, lubiprostone (example of medicinal product) and glycerine (example of medical device). By implementing cellular models and molecular analyses we demonstrate the difference in their mechanism of action. This set up can be considered an example on the possibility to define a paradigm for the case by case study of the mechanism of action of substances and combination of substances in medical devices.
医疗设备的发展促使了一些包含“物质”的医疗设备的出现,并且由于其呈现形式和应用部位,这些设备可能类似于药品。基于物质的医疗设备与药品之间的区别在于对主要作用机制的恰当定义。目前的主要问题是缺乏一个合适的程序来证明一种“非药理学、免疫学或代谢学”的机制。我们旨在设计一个实验装置,以证明两种常用于治疗便秘的物质——鲁比前列酮(药品示例)和甘油(医疗设备示例)——作用机制的差异。通过实施细胞模型和分子分析,我们证明了它们作用机制的差异。这个装置可以被视为一个示例,说明有可能为医疗设备中物质及其组合的作用机制逐案研究定义一个范例。