• 文献检索
  • 文档翻译
  • 深度研究
  • 学术资讯
  • Suppr Zotero 插件Zotero 插件
  • 邀请有礼
  • 套餐&价格
  • 历史记录
应用&插件
Suppr Zotero 插件Zotero 插件浏览器插件Mac 客户端Windows 客户端微信小程序
定价
高级版会员购买积分包购买API积分包
服务
文献检索文档翻译深度研究API 文档MCP 服务
关于我们
关于 Suppr公司介绍联系我们用户协议隐私条款
关注我们

Suppr 超能文献

核心技术专利:CN118964589B侵权必究
粤ICP备2023148730 号-1Suppr @ 2026

文献检索

告别复杂PubMed语法,用中文像聊天一样搜索,搜遍4000万医学文献。AI智能推荐,让科研检索更轻松。

立即免费搜索

文件翻译

保留排版,准确专业,支持PDF/Word/PPT等文件格式,支持 12+语言互译。

免费翻译文档

深度研究

AI帮你快速写综述,25分钟生成高质量综述,智能提取关键信息,辅助科研写作。

立即免费体验

耐后旱 QTL 对适应花后干旱的反应取决于干旱程度。

Stay-Green QTLs Response in Adaptation to Post-Flowering Drought Depends on the Drought Severity.

机构信息

Biotechnology and Biosafety Research Center, Agricultural Research Corporation, P.O. Box 30, Shambat, Khartoum North, Sudan.

Arid Land Research Center, Tottori University, 1390 Hamasaka, Tottori 680-0001, Japan.

出版信息

Biomed Res Int. 2018 Nov 18;2018:7082095. doi: 10.1155/2018/7082095. eCollection 2018.

DOI:10.1155/2018/7082095
PMID:30584537
原文链接:https://pmc.ncbi.nlm.nih.gov/articles/PMC6280221/
Abstract

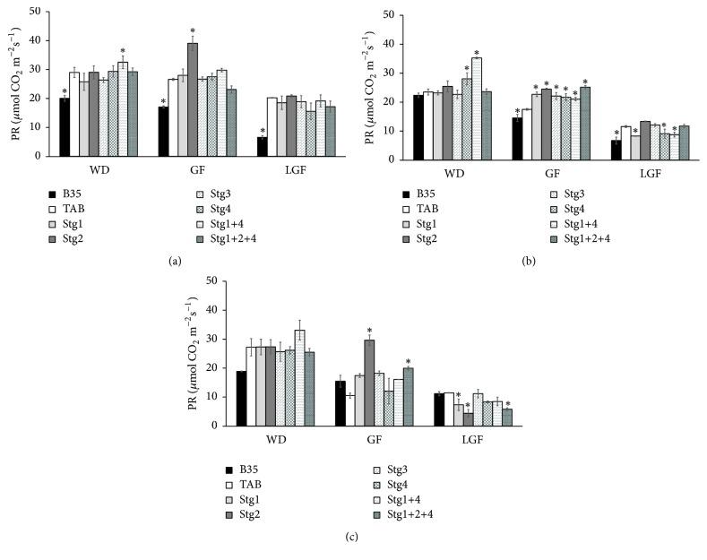
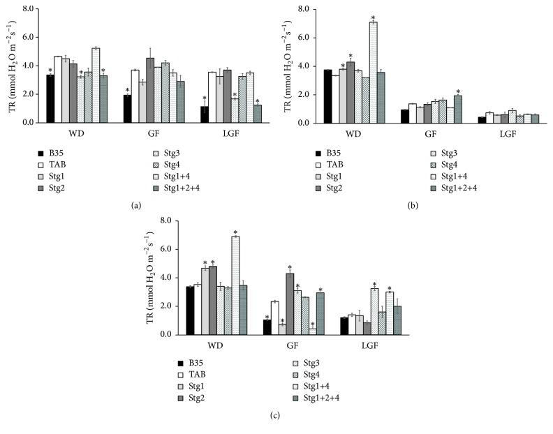
Stay-green trait enhances sorghum adaptation to post-flowering drought. Six stay-green backcross introgression lines (BILs) carrying one or more stay-green QTLs (Stg1-4) and their parents were characterized under non-stress (W: 100% of soil field capacity (FC)) and two levels of post-flowering drought (W: 75% FC; W: 50% FC) in a controlled condition. We aimed to study the response and identify the drought threshold of these QTLs under different levels of post-flowering drought and find traits closely contributing to grain yield (GY) under different drought severity. W caused the highest reduction in BILs performance. From W to W, the GY of the recurrent parent reduced by 70%, whereas that of the BILs reduced by only 36%. W and W induce different behavior/response compared to W. Harvest index contributed to the GY under the three water regimes. For high GY under drought transpiration rate at the beginning of drought and mid-grain filling was important at W, whereas it was important at mid-grain filling and late-grain filling at W. Stay-green trait can be scored simply with the relative number of green leaves/plants under both irrigated and stress environments. QTL pyramiding might not always be necessary to stabilize or increase the GY under post-flowering drought. The stay-green QTLs increase GY under drought by manipulating water utilization depending on drought severity.

摘要

持绿特性增强高粱开花后干旱适应能力。六个持绿回交导入系(BILs)携带一个或多个持绿 QTL(Stg1-4)及其亲本在非胁迫条件下(W:土壤田间持水量的 100%(FC))和两个开花后干旱水平下进行了特征描述(W:75% FC;W:50% FC)在受控条件下。我们旨在研究这些 QTL 在不同水平的开花后干旱下的反应,并确定干旱阈值,并找到在不同干旱严重程度下与粒重(GY)密切相关的性状。W 导致 BILs 性能的最大降低。从 W 到 W,轮回亲本的 GY 减少了 70%,而 BILs 的 GY 仅减少了 36%。W 和 W 与 W 相比诱导不同的行为/反应。在三种水分条件下,收获指数对 GY 有贡献。对于干旱下的高 GY,在 W 下,干旱开始时的蒸腾速率和中期灌浆对 GY 很重要,而在 W 下,中期灌浆和后期灌浆对 GY 很重要。持绿特性可以在灌溉和胁迫环境下通过相对绿叶/植物数量进行简单评分。在开花后干旱下,不一定总是需要 QTL 聚合来稳定或增加 GY。持绿 QTL 通过根据干旱严重程度操纵水分利用来增加干旱下的 GY。

https://cdn.ncbi.nlm.nih.gov/pmc/blobs/4c56/6280221/223704e8c01c/BMRI2018-7082095.006.jpg
https://cdn.ncbi.nlm.nih.gov/pmc/blobs/4c56/6280221/d12aeb9614d7/BMRI2018-7082095.001.jpg
https://cdn.ncbi.nlm.nih.gov/pmc/blobs/4c56/6280221/1b7dfd09d8e3/BMRI2018-7082095.002.jpg
https://cdn.ncbi.nlm.nih.gov/pmc/blobs/4c56/6280221/88b470243ba1/BMRI2018-7082095.003.jpg
https://cdn.ncbi.nlm.nih.gov/pmc/blobs/4c56/6280221/994ba6aa452c/BMRI2018-7082095.004.jpg
https://cdn.ncbi.nlm.nih.gov/pmc/blobs/4c56/6280221/8b580e089df4/BMRI2018-7082095.005.jpg
https://cdn.ncbi.nlm.nih.gov/pmc/blobs/4c56/6280221/223704e8c01c/BMRI2018-7082095.006.jpg
https://cdn.ncbi.nlm.nih.gov/pmc/blobs/4c56/6280221/d12aeb9614d7/BMRI2018-7082095.001.jpg
https://cdn.ncbi.nlm.nih.gov/pmc/blobs/4c56/6280221/1b7dfd09d8e3/BMRI2018-7082095.002.jpg
https://cdn.ncbi.nlm.nih.gov/pmc/blobs/4c56/6280221/88b470243ba1/BMRI2018-7082095.003.jpg
https://cdn.ncbi.nlm.nih.gov/pmc/blobs/4c56/6280221/994ba6aa452c/BMRI2018-7082095.004.jpg
https://cdn.ncbi.nlm.nih.gov/pmc/blobs/4c56/6280221/8b580e089df4/BMRI2018-7082095.005.jpg
https://cdn.ncbi.nlm.nih.gov/pmc/blobs/4c56/6280221/223704e8c01c/BMRI2018-7082095.006.jpg

相似文献

1
Stay-Green QTLs Response in Adaptation to Post-Flowering Drought Depends on the Drought Severity.耐后旱 QTL 对适应花后干旱的反应取决于干旱程度。
Biomed Res Int. 2018 Nov 18;2018:7082095. doi: 10.1155/2018/7082095. eCollection 2018.
2
Stay-green alleles individually enhance grain yield in sorghum under drought by modifying canopy development and water uptake patterns.持绿等位基因通过改变冠层发育和水分吸收模式,分别提高干旱条件下高粱的籽粒产量。
New Phytol. 2014 Aug;203(3):817-30. doi: 10.1111/nph.12869. Epub 2014 Jun 4.
3
Drought adaptation of stay-green sorghum is associated with canopy development, leaf anatomy, root growth, and water uptake.持绿型高粱的干旱适应性与冠层发育、叶片解剖结构、根系生长和水分吸收有关。
J Exp Bot. 2014 Nov;65(21):6251-63. doi: 10.1093/jxb/eru232. Epub 2014 Jun 13.
4
Sorghum stay-green QTL individually reduce post-flowering drought-induced leaf senescence.高粱持绿QTL分别减少开花后干旱诱导的叶片衰老。
J Exp Bot. 2007;58(2):327-38. doi: 10.1093/jxb/erl225. Epub 2006 Dec 14.
5
Mapping of post-flowering drought resistance traits in grain sorghum: association between QTLs influencing premature senescence and maturity.粒用高粱花后抗旱性状的定位:影响早衰和成熟的数量性状位点之间的关联
Mol Gen Genet. 1999 Oct;262(3):579-88. doi: 10.1007/s004380051120.
6
Molecular mapping of QTLs conferring stay-green in grain sorghum (Sorghum bicolor L. Moench).赋予粒用高粱(双色高粱L. Moench)持绿性的数量性状基因座的分子图谱构建
Genome. 2000 Jun;43(3):461-9.
7
Quantitative trait loci associated with drought tolerance at reproductive stage in rice.与水稻生殖期耐旱性相关的数量性状位点
Plant Physiol. 2004 May;135(1):384-99. doi: 10.1104/pp.103.035527. Epub 2004 Apr 30.
8
Mapping QTLs associated with drought resistance in sorghum (Sorghum bicolor L. Moench).定位与高粱(Sorghum bicolor L. Moench)抗旱性相关的数量性状基因座
Plant Mol Biol. 2002 Mar-Apr;48(5-6):713-26. doi: 10.1023/a:1014894130270.
9
Genetic modification of PIN genes induces causal mechanisms of stay-green drought adaptation phenotype.遗传修饰 PIN 基因诱导持绿抗旱适应表型的因果机制。
J Exp Bot. 2022 Nov 2;73(19):6711-6726. doi: 10.1093/jxb/erac336.
10
Quantitative and population genomics suggest a broad role of stay-green loci in the drought adaptation of sorghum.定量和群体基因组学表明 stay-green 基因座在高粱抗旱适应中的广泛作用。
Plant Genome. 2022 Mar;15(1):e20176. doi: 10.1002/tpg2.20176. Epub 2021 Nov 24.

引用本文的文献

1
Genetic analysis of stay green related traits in maize with major gene plus polygenes mixed model.利用主基因+多基因混合模型对玉米持绿相关性状进行遗传分析。
PLoS One. 2024 Oct 3;19(10):e0303602. doi: 10.1371/journal.pone.0303602. eCollection 2024.
2
Multi-locus genome-wide association study for grain yield and drought tolerance indices in sorghum accessions.高粱种质资源产量和耐旱性指标的多位点全基因组关联研究
Plant Genome. 2024 Dec;17(4):e20505. doi: 10.1002/tpg2.20505. Epub 2024 Sep 10.
3
Association of maize ( L.) senescence with water and nitrogen utilization under different drip irrigation systems.

本文引用的文献

1
Stay-green quantitative trait loci's effects on water extraction, transpiration efficiency and seed yield depend on recipient parent background.持绿数量性状基因座对水分提取、蒸腾效率和种子产量的影响取决于受体亲本背景。
Funct Plant Biol. 2011 Jul;38(7):553-566. doi: 10.1071/FP11073.
2
Drought adaptation of stay-green sorghum is associated with canopy development, leaf anatomy, root growth, and water uptake.持绿型高粱的干旱适应性与冠层发育、叶片解剖结构、根系生长和水分吸收有关。
J Exp Bot. 2014 Nov;65(21):6251-63. doi: 10.1093/jxb/eru232. Epub 2014 Jun 13.
3
Detection and validation of stay-green QTL in post-rainy sorghum involving widely adapted cultivar, M35-1 and a popular stay-green genotype B35.
不同滴灌系统下玉米(L.)衰老与水分和氮素利用的关系
Front Plant Sci. 2023 Mar 17;14:1133206. doi: 10.3389/fpls.2023.1133206. eCollection 2023.
4
Canopy spectral reflectance indices correlate with yield traits variability in bread wheat genotypes under drought stress.冠层光谱反射率指数与干旱胁迫下小麦基因型产量性状的变异性相关。
PeerJ. 2022 Nov 25;10:e14421. doi: 10.7717/peerj.14421. eCollection 2022.
5
Genome-wide Identification of WRKY transcription factor family members in sorghum (Sorghum bicolor (L.) moench).高粱(高粱 bicolor (L.) moench)全基因组 WRKY 转录因子家族成员的鉴定。
PLoS One. 2020 Aug 17;15(8):e0236651. doi: 10.1371/journal.pone.0236651. eCollection 2020.
6
Stay-Green Trait: A Prospective Approach for Yield Potential, and Drought and Heat Stress Adaptation in Globally Important Cereals.持绿特性:提高全球重要谷物产量潜力及适应干旱和热胁迫的前瞻性方法。
Int J Mol Sci. 2019 Nov 20;20(23):5837. doi: 10.3390/ijms20235837.
7
Functional Dissection of the Chickpea () Stay-Green Phenotype Associated with Molecular Variation at an Ortholog of Mendel's I Gene for Cotyledon Color: Implications for Crop Production and Carotenoid Biofortification.菜豆()绿叶保持功能的解析与其子叶颜色孟德尔 I 基因的同源基因的分子变异有关:对作物生产和类胡萝卜素生物强化的影响。
Int J Mol Sci. 2019 Nov 7;20(22):5562. doi: 10.3390/ijms20225562.
在雨季过后的高粱中检测和验证持绿QTL,涉及广泛适应的品种M35-1和一个流行的持绿基因型B35。
BMC Genomics. 2014 Oct 18;15(1):909. doi: 10.1186/1471-2164-15-909.
4
Stay-green alleles individually enhance grain yield in sorghum under drought by modifying canopy development and water uptake patterns.持绿等位基因通过改变冠层发育和水分吸收模式,分别提高干旱条件下高粱的籽粒产量。
New Phytol. 2014 Aug;203(3):817-30. doi: 10.1111/nph.12869. Epub 2014 Jun 4.
5
Applicability of Aegilops tauschii drought tolerance traits to breeding of hexaploid wheat.节节麦耐旱特性在六倍体普通小麦育种中的应用。
Breed Sci. 2011 Dec;61(4):347-57. doi: 10.1270/jsbbs.61.347. Epub 2011 Dec 15.
6
Studying the genetic basis of drought tolerance in sorghum by managed stress trials and adjustments for phenological and plant height differences.通过管理胁迫试验和对物候和株高差异进行调整来研究高粱耐旱性的遗传基础。
Theor Appl Genet. 2012 May;124(8):1389-402. doi: 10.1007/s00122-012-1795-9.
7
Identification of quantitative trait loci for agronomically important traits and their association with genic-microsatellite markers in sorghum.高粱中农艺重要性状的数量性状位点鉴定及其与基因微卫星标记的关联
Theor Appl Genet. 2009 May;118(8):1439-54. doi: 10.1007/s00122-009-0993-6. Epub 2009 Mar 10.
8
ClusFCM: an algorithm for predicting protein functions using homologies and protein interactions.ClusFCM:一种利用同源性和蛋白质相互作用预测蛋白质功能的算法。
J Bioinform Comput Biol. 2008 Feb;6(1):203-22. doi: 10.1142/s0219720008003333.
9
Sorghum stay-green QTL individually reduce post-flowering drought-induced leaf senescence.高粱持绿QTL分别减少开花后干旱诱导的叶片衰老。
J Exp Bot. 2007;58(2):327-38. doi: 10.1093/jxb/erl225. Epub 2006 Dec 14.
10
Prediction of hybrid performance in grain sorghum using RFLP markers.利用限制性片段长度多态性(RFLP)标记预测粒用高粱的杂种表现。
Theor Appl Genet. 2003 Feb;106(3):559-67. doi: 10.1007/s00122-002-1144-5. Epub 2002 Dec 19.