Suppr超能文献

对南非褶尾蜥尿液和粪便中糖皮质激素代谢物浓度的无创监测。

Non-invasive monitoring of glucocorticoid metabolite concentrations in urine and faeces of the Sungazer ().

作者信息

Scheun Juan, Greeff Dominique, Ganswindt Andre

机构信息

National Zoological Garden, South African National Biodiversity Institute, Pretoria, South Africa.

Mammal Research Institute, Department of Zoology and Entomology, University of Pretoria, Pretoria, South Africa.

出版信息

PeerJ. 2018 Dec 21;6:e6132. doi: 10.7717/peerj.6132. eCollection 2018.

Abstract

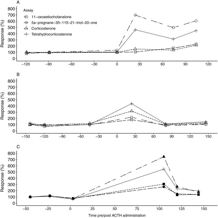
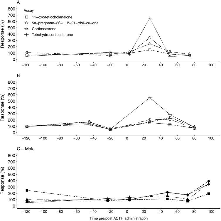
Developing non-invasive techniques for monitoring physiological stress responses has been conducted in a number of mammal and bird species, revolutionizing field-based endocrinology and conservation practices. However, studies validating and monitoring glucocorticoid concentrations in reptiles are still limited. The aim of the study was to validate a method for monitoring glucocorticoid metabolite concentrations in urine (uGCM) and faeces (fGCM) of the cordylid lizard, the Sungazer (). An adrenocorticotropic hormone (ACTH) challenge was conducted on one male and two females with both urine and faecal material being collected during baseline and post-injection periods. Steroid extracts were analysed with four enzyme immunoassays (EIAs)namely: 11-oxoaetiocholanolone, 5α-pregnane-3β-11β-21-triol-20-one, tetrahydrocorticosterone, and corticosterone. A considerable response in fGCM and uGCM concentrations following ACTH administration was observed in all subjects, with the 5α-pregnane-3β-11β-21-triol-20-one and tetrahydrocorticosterone EIAs appearing to be the most suited for monitoring alterations in glucocorticoid metabolite concentrations in using faeces or urine as hormone matrix. Both EIAs showed a significantly higher concentration of glucocorticoid metabolites in faeces compared to urine for both sexes. Collectively, the findings of this study confirmed that both urine and faeces can be used to non-invasively assess adrenocortical function in .

摘要

在许多哺乳动物和鸟类物种中,已经开展了开发用于监测生理应激反应的非侵入性技术的工作,这给基于野外的内分泌学和保护实践带来了变革。然而,验证和监测爬行动物糖皮质激素浓度的研究仍然有限。本研究的目的是验证一种监测绳蜥(南非岩蜥)尿液(uGCM)和粪便(fGCM)中糖皮质激素代谢物浓度的方法。对一只雄性和两只雌性进行促肾上腺皮质激素(ACTH)刺激试验,在基线期和注射后期间收集尿液和粪便样本。用四种酶免疫分析法(EIA)分析类固醇提取物,即:11-氧代雄甾烷醇、5α-孕烷-3β-11β-21-三醇-20-酮、四氢皮质酮和皮质酮。在所有受试动物中,观察到给予ACTH后fGCM和uGCM浓度有显著反应,其中5α-孕烷-3β-11β-21-三醇-20-酮和四氢皮质酮EIA似乎最适合以粪便或尿液作为激素基质来监测南非岩蜥糖皮质激素代谢物浓度的变化。两种EIA均显示,两性粪便中糖皮质激素代谢物的浓度均显著高于尿液。总体而言,本研究结果证实,尿液和粪便均可用于非侵入性评估南非岩蜥的肾上腺皮质功能。

https://cdn.ncbi.nlm.nih.gov/pmc/blobs/2e4e/6305116/72ea4cd3eaac/peerj-06-6132-g001.jpg

文献AI研究员

20分钟写一篇综述,助力文献阅读效率提升50倍。

立即体验

用中文搜PubMed

大模型驱动的PubMed中文搜索引擎

马上搜索

文档翻译

学术文献翻译模型,支持多种主流文档格式。

立即体验