Suppr超能文献

白蚁对石蕊的取食率:碳、氮、磷含量及比例的影响

Consumption Rate of Lichens by (Isoptera): Effects of C, N, and P Contents and Ratios.

作者信息

Barbosa-Silva Ana M, Vasconcellos Alexandre

机构信息

Laboratório de Termitologia, Departamento de Sistemática e Ecologia, Universidade Federal da Paraíba, João Pessoa 58051-900, Paraíba, Brazil.

出版信息

Insects. 2019 Jan 9;10(1):23. doi: 10.3390/insects10010023.

Abstract

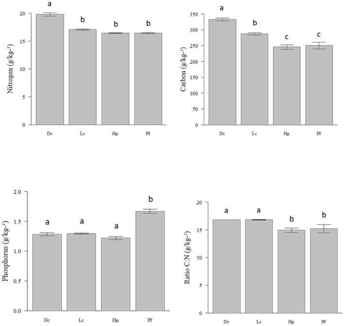
Wood is the main dietary item for most termites; however, supplementation with certain nutrients may occur via the ingestion of other available food resources in the ecosystem. The objective of this study was to evaluate the consumption of lichens with different C, N, and P contents by under laboratory conditions, and estimate the intake of this substrate by this species in a semi-arid area of Northeast Brazil. The foraging activities of fifteen field colonies were monitored over 15 days from 6:00 p.m. to 6:00 a.m., and the lichens that were consumed were identified. Blocks of lichen thallus (1.5 × 1.5 cm) of four lichen species were offered to the termites in the laboratory. The mean total consumption rate of lichen by was 0.032 mg lichen/g termite (fresh weight)/day. was the lichen most consumed by termites (0.010 mg lichen/g of termite (fresh weight)/day), followed by spp. and at a mean consumption of 0.008 and 0.006 mg lichen/g termite (fresh weight)/day, respectively. Based on the size of the populations, the estimated lichen consumption rate was 105.12 g lichen/ha/year. Lichen consumption was significantly affected by the N content and the C:N and C:P ratios, with the N content being the factor that best explained the consumption by the termites. The results suggest that can use lichens as a supplemental source of nutrients, especially nutrients that are found in low concentrations in wood.

摘要

木材是大多数白蚁的主要食物来源;然而,它们可能会通过摄取生态系统中其他可获取的食物资源来补充某些营养物质。本研究的目的是在实验室条件下评估不同碳、氮和磷含量的地衣被[白蚁种类名称]的消耗量,并估算该物种在巴西东北部半干旱地区对这种底物的摄入量。在下午6点至上午6点的15天时间里监测了15个野外蚁群的觅食活动,并识别出被消耗的地衣。在实验室中向白蚁提供了四种地衣物种的地衣叶状体块(1.5×1.5厘米)。[白蚁种类名称]对地衣的平均总消耗率为0.032毫克地衣/克白蚁(鲜重)/天。[被消耗最多的地衣种类名称]是白蚁消耗最多的地衣(0.010毫克地衣/克白蚁(鲜重)/天),其次是[其他地衣种类名称]属和[另一种地衣种类名称],平均消耗量分别为0.008和0.006毫克地衣/克白蚁(鲜重)/天。根据[白蚁种类名称]种群的规模,估计地衣消耗率为105.12克地衣/公顷/年。地衣消耗受到氮含量以及碳氮比和碳磷比的显著影响,其中氮含量是最能解释白蚁消耗量的因素。结果表明,[白蚁种类名称]可以将地衣作为营养补充来源,尤其是木材中含量较低的营养物质。

https://cdn.ncbi.nlm.nih.gov/pmc/blobs/a381/6358737/1265a3b2b7a9/insects-10-00023-g001.jpg

文献检索

告别复杂PubMed语法,用中文像聊天一样搜索,搜遍4000万医学文献。AI智能推荐,让科研检索更轻松。

立即免费搜索

文件翻译

保留排版,准确专业,支持PDF/Word/PPT等文件格式,支持 12+语言互译。

免费翻译文档

深度研究

AI帮你快速写综述,25分钟生成高质量综述,智能提取关键信息,辅助科研写作。

立即免费体验