Suppr超能文献

北极圈附近的歌唱家:冬季在冰岛觅食场的座头鲸(Megaptera novaeangliae)歌声结构和变化。

Subarctic singers: Humpback whale (Megaptera novaeangliae) song structure and progression from an Icelandic feeding ground during winter.

机构信息

The University of Iceland's Research Center in Húsavík, Húsavík, Iceland.

Department of Life and Environmental Sciences, University of Iceland, Reykjavík, Iceland.

出版信息

PLoS One. 2019 Jan 23;14(1):e0210057. doi: 10.1371/journal.pone.0210057. eCollection 2019.

Abstract

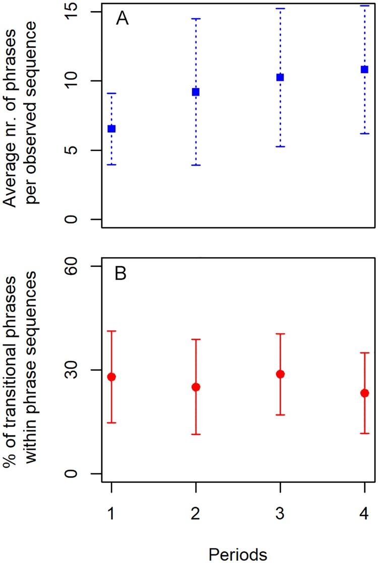
Humpback whale songs associated with breeding behaviors are increasingly reported outside of traditional low latitude breeding grounds. Songs from a subarctic feeding ground during the winter were quantitatively characterized to investigate the structure and temporal changes of the songs at such an atypical location. Recordings were collected from 26. January to 12. March, 2011, using bottom mounted recorders. Humpback songs were detected on 91% of the recording days with peak singing activities during 9.-26. February. The majority of the recordings included multiple chorusing singers. The songs were characterized by a) common static themes which transitioned consistently to predictable themes, b) shifting themes which occurred less predictably and c) rare themes. A set median sequence was found for four different periods (sets) of recordings (approximately 1 week each). The set medians were highly similar and formed a single cluster indicating that the sequences of themes sung in this area belonged to a single cluster of songs despite of the variation caused by the shifting themes. These subarctic winter songs could, thus, represent a characteristic song type for this area which is comparable to extensively studied songs from traditional low latitude breeding grounds. An increase in the number of themes per sequence was observed throughout the recording period including minor changes in the application of themes in the songs; indicating a gradual song progression. The results confirm that continual singing of sophisticated songs occur during the breeding season in the subarctic. In addition to being a well-established summer feeding ground the study area appears to be an important overwintering site for humpback whales delaying or canceling their migration where males engage in active sexual displays, i.e. singing. Importantly, such singing activity on a shared feeding ground likely aids the cultural transmission of songs in the North Atlantic.

摘要

座头鲸的繁殖行为与歌声有关,而这种歌声如今在传统的低纬度繁殖地之外的地方也越来越频繁地被记录到。本研究旨在通过定量分析冬季亚北极觅食场的座头鲸歌声,调查这种非典型地点的歌声结构和时间变化。2011 年 1 月 26 日至 3 月 12 日,我们使用底部安装的记录仪收集了录音。91%的录音日都能检测到座头鲸的歌声,其歌唱高峰期出现在 2 月 9 日至 26 日。大部分录音都包含了多个合唱歌手。这些歌声的特点是:a)常见的静态主题,始终如一地过渡到可预测的主题;b)变化主题,发生的频率较低且不可预测;c)罕见主题。在四个不同的录音期(每个期约 1 周)中,我们发现了一套中位数序列。这些中位数序列非常相似,形成了一个单一的聚类,这表明在该地区演唱的主题序列属于单一的歌曲聚类,尽管存在由变化主题引起的变化。因此,这些亚北极冬季的歌声可能代表了该地区的一种独特的歌曲类型,与广泛研究的传统低纬度繁殖地的歌声相当。在整个录音期间,我们观察到序列中的主题数量增加,歌曲中主题的应用也略有变化;这表明歌声逐渐演变。研究结果证实,在亚北极地区的繁殖季节,座头鲸会持续演唱复杂的歌曲。除了是一个成熟的夏季觅食地之外,该研究区域似乎也是座头鲸重要的越冬地,座头鲸会在这里延迟或取消迁徙,雄性会在此期间进行活跃的性展示,即歌唱。重要的是,这种在共享觅食地的歌唱活动可能有助于北大西洋歌声的文化传播。

https://cdn.ncbi.nlm.nih.gov/pmc/blobs/3f08/6343865/8f3ad85f33f1/pone.0210057.g001.jpg

文献AI研究员

20分钟写一篇综述,助力文献阅读效率提升50倍。

立即体验

用中文搜PubMed

大模型驱动的PubMed中文搜索引擎

马上搜索

文档翻译

学术文献翻译模型,支持多种主流文档格式。

立即体验