Suppr超能文献

物联网中移动环境下的聚类数据复制。

Clustered Data Muling in the Internet of Things in Motion.

机构信息

ISAT Laboratory, University of the Western Cape, Cape Town, Bellville 3575, South Africa.

出版信息

Sensors (Basel). 2019 Jan 24;19(3):484. doi: 10.3390/s19030484.

Abstract

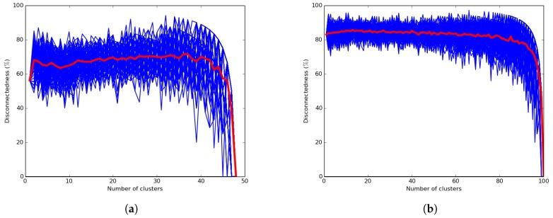
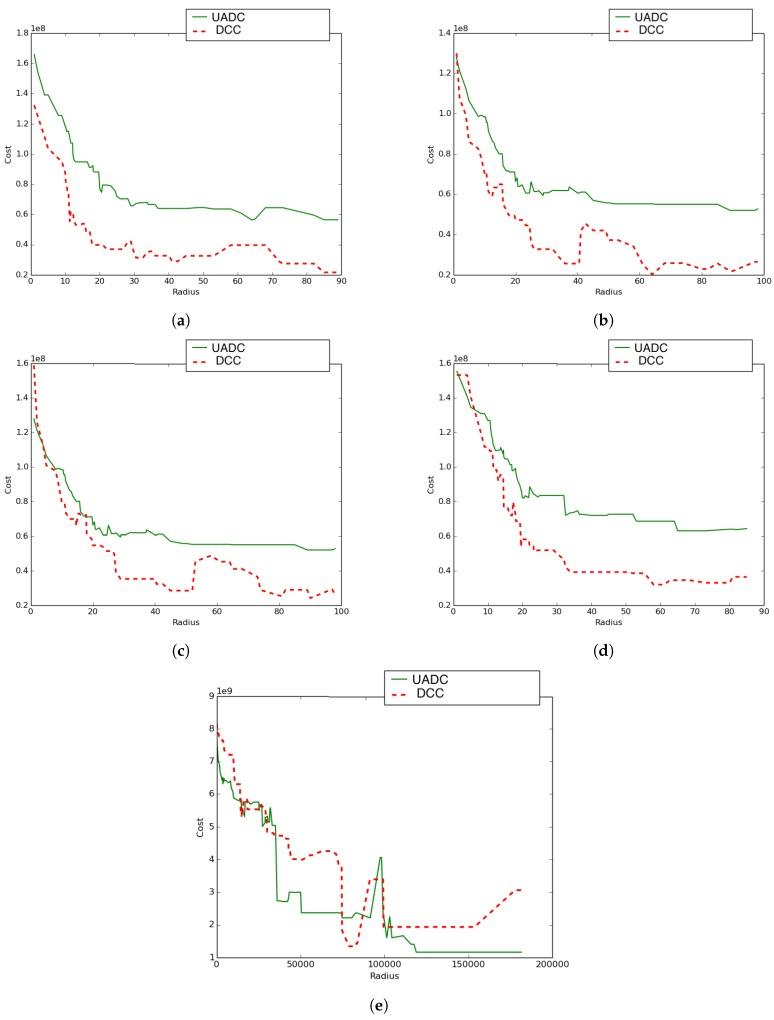
This paper considers a case where an Unmanned Aerial Vehicle (UAV) is used to monitor an area of interest. The UAV is assisted by a Sensor Network (SN), which is deployed in the area such as a smart city or smart village. The area being monitored has a reasonable size and hence may contain many sensors for efficient and accurate data collection. In this case, it would be expensive for one UAV to visit all the sensors; hence the need to partition the ground network into an optimum number of clusters with the objective of having the UAV visit only cluster heads (fewer sensors). In such a setting, the sensor readings (sensor data) would be sent to cluster heads where they are collected by the UAV upon its arrival. This paper proposes a clustering scheme that optimizes not only the sensor network energy usage, but also the energy used by the UAV to cover the area of interest. The computation of the number of optimal clusters in a dense and uniformly-distributed sensor network is proposed to complement the k-means clustering algorithm when used as a network engineering technique in hybrid UAV/terrestrial networks. Furthermore, for general networks, an efficient clustering model that caters for both orphan nodes and multi-layer optimization is proposed and analyzed through simulations using the city of Cape Town in South Africa as a smart city hybrid network engineering use-case.

摘要

本文考虑了一种情况下,使用无人机(UAV)来监测一个感兴趣的区域。该无人机由一个传感器网络(SN)辅助,该网络部署在一个智能城市或智能村庄等区域。被监测的区域具有合理的大小,因此可能包含许多传感器,以实现高效和准确的数据收集。在这种情况下,一架无人机访问所有传感器的成本会很高;因此,需要将地面网络划分为最佳数量的簇,目的是让无人机只访问簇头(较少的传感器)。在这种情况下,传感器读数(传感器数据)将被发送到簇头,无人机在到达时会在簇头上收集这些数据。本文提出了一种聚类方案,不仅优化了传感器网络的能量使用,还优化了无人机覆盖感兴趣区域的能量使用。提出了在密集且均匀分布的传感器网络中计算最佳簇数量的方法,以补充 k-means 聚类算法在混合无人机/地面网络中的网络工程技术中的应用。此外,对于一般网络,提出了一种有效的聚类模型,该模型考虑了孤儿节点和多层优化,并通过使用南非开普敦市作为智能城市混合网络工程用例进行仿真进行了分析。

https://cdn.ncbi.nlm.nih.gov/pmc/blobs/6402/6387288/d58e93c266ee/sensors-19-00484-g001.jpg

文献AI研究员

20分钟写一篇综述,助力文献阅读效率提升50倍。

立即体验

用中文搜PubMed

大模型驱动的PubMed中文搜索引擎

马上搜索

文档翻译

学术文献翻译模型,支持多种主流文档格式。

立即体验