Suppr超能文献

评估血清生物标志物及凝血/纤溶标志物对治疗性低温治疗的心脏骤停后患者神经功能预后的预测价值。

Assessment of serum biomarkers and coagulation/fibrinolysis markers for prediction of neurological outcomes of out of cardiac arrest patients treated with therapeutic hypothermia.

作者信息

Park Jeong Ho, Wee Jung Hee, Choi Seung Pill, Oh Jae Hun, Cheol Shin

机构信息

Department of Emergency Medicine, The Catholic University of Korea College of Medicine, Seoul, Korea.

出版信息

Clin Exp Emerg Med. 2019 Mar;6(1):9-18. doi: 10.15441/ceem.17.273. Epub 2019 Feb 20.

Abstract

OBJECTIVE

Despite increased survival in patients with cardiac arrest, it remains difficult to determine patient prognosis at the early stage. This study evaluated the prognosis of cardiac arrest patients using brain injury, inflammation, cardiovascular ischemic events, and coagulation/fibrinolysis markers collected 24, 48, and 72 hours after return of spontaneous circulation (ROSC).

METHODS

From January 2011 to December 2016, we retrospectively observed patients who underwent therapeutic hypothermia. Blood samples were collected immediately and 24, 48, and 72 hours after ROSC. Neuron-specific enolase (NSE), S100-B protein, procalcitonin, troponin I, creatine kinase-MB, pro-brain natriuretic protein, D-dimer, fibrin degradation product, antithrombin-III, fibrinogen, and lactate levels were measured. Prognosis was evaluated using GlasgowPittsburgh cerebral performance categories and the predictive accuracy of each marker was evaluated. The secondary outcome was whether the presence of multiple markers improved prediction accuracy.

RESULTS

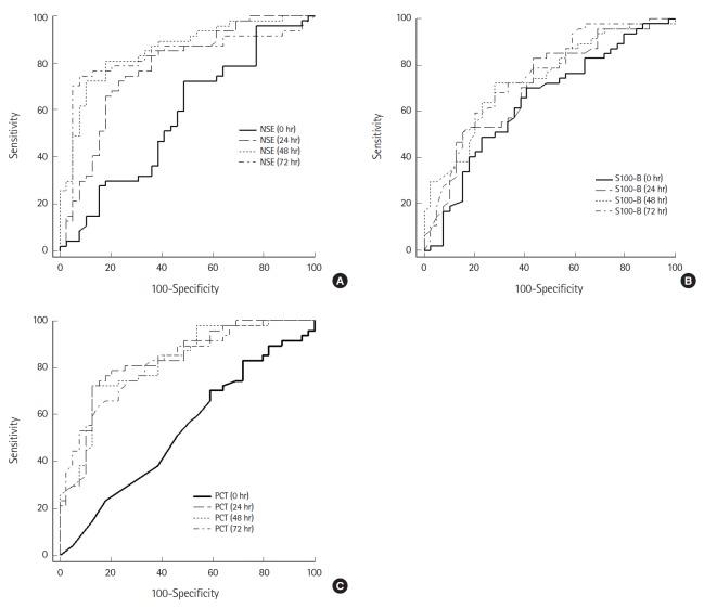
A total of 102 patients were included in the study: 39 with good neurologic outcomes and 63 with poor neurologic outcomes. The mean NSE level of good outcomes measured 72 hours after ROSC was 18.50 ng/mL. The area under the curve calculated on receiver operating characteristic analysis was 0.92, which showed the best predictive power among all markers included in the study analysis. The relative integrated discrimination improvement and categoryfree net reclassification improvement models showed no improvement in prognostic value when combined with all other markers and NSE (72 hours).

CONCLUSION

Although biomarker combinations did not improve prognostic accuracy, NSE (72 hours) showed the best predictive power for neurological prognosis in patients who received therapeutic hypothermia.

摘要

目的

尽管心脏骤停患者的生存率有所提高,但在早期阶段确定患者预后仍很困难。本研究使用在自主循环恢复(ROSC)后24、48和72小时收集的脑损伤、炎症、心血管缺血事件及凝血/纤维蛋白溶解标志物评估心脏骤停患者的预后。

方法

2011年1月至2016年12月,我们回顾性观察了接受治疗性低温的患者。在ROSC后即刻以及24、48和72小时采集血样。检测神经元特异性烯醇化酶(NSE)、S100-B蛋白、降钙素原、肌钙蛋白I、肌酸激酶同工酶MB、脑钠肽前体、D-二聚体、纤维蛋白降解产物、抗凝血酶III、纤维蛋白原和乳酸水平。使用格拉斯哥-匹兹堡脑功能分类评估预后,并评估每个标志物的预测准确性。次要结果是多种标志物的存在是否提高了预测准确性。

结果

本研究共纳入102例患者:39例神经功能结局良好,63例神经功能结局不良。ROSC后72小时测量的良好结局患者的平均NSE水平为18.50 ng/mL。在受试者工作特征分析中计算的曲线下面积为0.92,在研究分析中纳入的所有标志物中显示出最佳预测能力。相对综合判别改善和无类别净重新分类改善模型显示,与所有其他标志物和NSE(72小时)联合使用时,预后价值没有改善。

结论

尽管生物标志物组合未提高预后准确性,但NSE(72小时)对接受治疗性低温的患者的神经预后显示出最佳预测能力。

https://cdn.ncbi.nlm.nih.gov/pmc/blobs/40eb/6453696/c0fa728dc45b/ceem-17-273f1.jpg

文献AI研究员

20分钟写一篇综述,助力文献阅读效率提升50倍。

立即体验

用中文搜PubMed

大模型驱动的PubMed中文搜索引擎

马上搜索

文档翻译

学术文献翻译模型,支持多种主流文档格式。

立即体验