Suppr超能文献

下颌伸展对糖皮质激素诱导的高血压大鼠软脑膜小动脉直径变化的影响。

Effects of Mandibular Extension on Pial Arteriolar Diameter Changes in Glucocorticoid-Induced Hypertensive Rats.

作者信息

Lapi Dominga, Varanini Maurizio, Galasso Lucrezia, Di Maro Martina, Federighi Giuseppe, Del Seppia Cristina, Colantuoni Antonio, Scuri Rossana

机构信息

Department of Clinical Medicine and Surgery, University of Naples Federico II, Naples, Italy.

Institute of Clinical Physiology, National Council of Research (CNR), Pisa, Italy.

出版信息

Front Physiol. 2019 Feb 7;10:3. doi: 10.3389/fphys.2019.00003. eCollection 2019.

Abstract

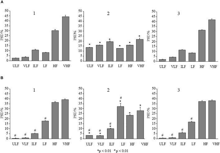
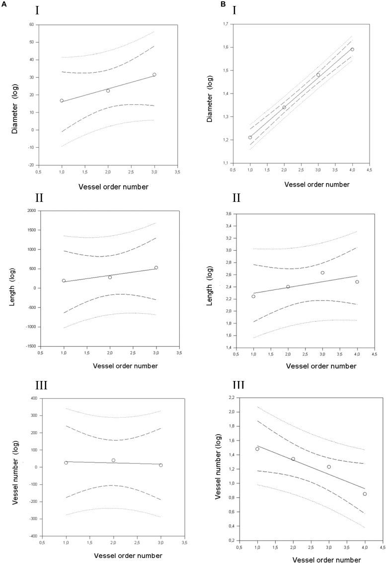
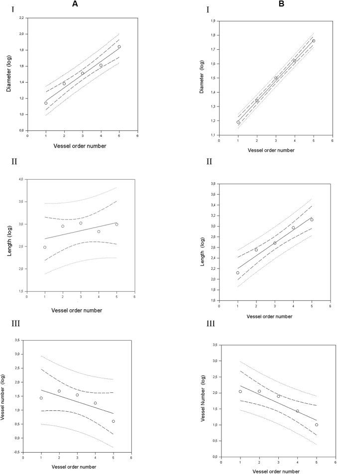
Previously, in normotensive rats, it has been observed that a repetitive sub-maximal mouth opening (mandibular extension, ME) obtained by placing a home-made U-shaped dilator between the superior and inferior dental arches of the rat caused modulation of pial arteriolar tone. The present study was aimed to characterize pial microcirculation in two different cortical brain regions and to assess the hemodynamic effects of a single or double ME on pial arteriolar rhythmic diameter changes in rats rendered hypertensive by dexamethasone administrations. Cranial windows were prepared on parietal and frontal region. Pial arterioles were classified by Strahler method in five orders by fluorescence microscopy technique associated with a computerized system that permits off-line measurements of arteriolar diameter changes. Two 10 min ME at 10 min interval were applied; then the animals were monitored for further 240 min. Dexamethasone-treated rats exhibited a marked arterial rarefaction and asymmetry of bifurcation in the pial microvascular networks more evident in the frontal region. Starting from ME1, in both cortical areas, the arterioles dilated, and the vasodilation became significant compared to baseline after ME2 for the entire observation period. The spectral analysis carried out on order 2 arteriolar diameter change tracings, showed that double ME increased the spectral density of the frequency components related to endothelial, neuronal and myogenic activities in both the cortical regions studied. In conclusion, double ME has a generalized effect in the cortical areas by restoring the physiological vasomotion of the pial arterioles that was severely impaired by the experimentally hypertension.

摘要

此前,在正常血压大鼠中,已观察到通过在大鼠的上下牙弓之间放置自制的U形扩张器获得的重复性次最大张口(下颌伸展,ME)可引起软脑膜小动脉张力的调节。本研究旨在表征两个不同皮质脑区的软脑膜微循环,并评估单次或两次ME对通过给予地塞米松而患高血压的大鼠软脑膜小动脉节律性直径变化的血流动力学影响。在顶叶和额叶区域制备颅骨视窗。通过与允许离线测量小动脉直径变化的计算机系统相关联的荧光显微镜技术,根据斯特拉勒方法将软脑膜小动脉分为五个等级。每隔10分钟进行两次10分钟的ME;然后对动物进行进一步240分钟的监测。地塞米松治疗的大鼠在软脑膜微血管网络中表现出明显的动脉稀疏和分叉不对称,在额叶区域更明显。从ME1开始,在两个皮质区域中,小动脉均扩张,并且在整个观察期内,与基线相比,ME2后的血管舒张变得显著。对2级小动脉直径变化轨迹进行的频谱分析表明,两次ME增加了所研究的两个皮质区域中与内皮、神经元和肌源性活动相关的频率成分的频谱密度。总之,两次ME通过恢复被实验性高血压严重损害的软脑膜小动脉的生理性血管运动,在皮质区域具有普遍作用。

https://cdn.ncbi.nlm.nih.gov/pmc/blobs/62ee/6375092/06f439c7ee83/fphys-10-00003-g001.jpg

文献AI研究员

20分钟写一篇综述,助力文献阅读效率提升50倍。

立即体验

用中文搜PubMed

大模型驱动的PubMed中文搜索引擎

马上搜索

文档翻译

学术文献翻译模型,支持多种主流文档格式。

立即体验