Suppr超能文献

胰腺自身抗体和 CD14+CD16+单核细胞亚群与胰肾联合移植后β细胞功能障碍有关。

Pancreatic autoantibodies and CD14+CD16+ monocytes subset are associated with the impairment of ß-cell function after simultaneous pancreas-kidney transplantation.

机构信息

Maimonides Biomedical Research Institute of Cordoba (IMIBIC)/Reina Sofia University Hospital/University of Cordoba, Cordoba, Spain.

Nephrology Unit. Reina Sofia University Hospital, Cordoba, Spain.

出版信息

PLoS One. 2019 Feb 22;14(2):e0212547. doi: 10.1371/journal.pone.0212547. eCollection 2019.

Abstract

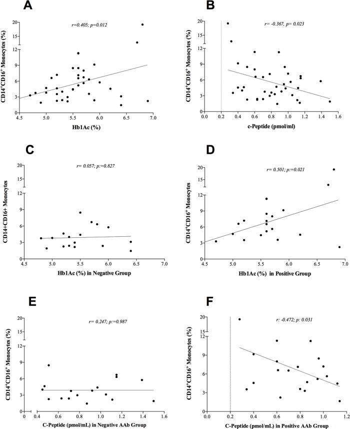
Pancreatic autoantibodies (AAb) has been associated with a worse pancreas graft survival after simultaneous pancreas-kidney transplantation (SPK). However, due to the variable time for AAb to become positive and the lack of early biomarkers suggesting such autoimmune activation, the mechanisms leading ß-cell destruction remain uncertain. The present study aimed to evaluate the association between post-transplant AAb and the functional impairment of the pancreatic ß-cell and also the association of such AAb with inflammation after SPK. In a longitudinal study, we analyzed the impact of post-transplant glutamic acid decarboxylase (GAD-65) and the insulinoma-associated autoantigen 2 (IA-2) AAb on pancreas graft function. Serum Hb1Ac and C-peptide (C-pep) were longitudinally compared between a group with positive posttransplant AAb (AAb+; n = 40) and another matched group with negative AAb (AAb-; n = 40) until the fifth year following seroconversion. In the cross-sectional analysis, we further evaluated the systemic signatures of inflammation by measuring pro-inflammatory CD14+CD16+ monocytes by flow-cytometry and interleukin 17-A serum levels in 38 SPK recipients and ten healthy controls. In the longitudinal study, patients with AAb+ showed higher levels of Hb1Ac (p<0.001) and lower C-pep levels (p<0.001) compared to those who remained AAb- throughout the follow-up. In the cross-sectional study, AAb+ patients showed a higher percentage of CD14+CD16+ monocytes compared with those with AAb- and the healthy controls (6.70±4.19% versus 4.0±1.84% and 3.44±0.93%; p = 0.026 and 0.009 respectively). Also, CD14+CD16+ monocytes correlated with Hb1Ac and C-pep serum levels. Multivariate logistic regression showed that posttransplant AAb+ was independently associated with a higher percentage of pro-inflammatory monocytes (adjusted-OR 1.59, 95%CI 1.05-2.40, p = 0.027). The group of patients with positive AAb also showed higher levels of IL17A as compared with the other groups (either healthy control or the negative AAb subjects). In conclusion, pancreatic AAb+ after SPK were not only associated with higher Hb1Ac and lower c-peptide serum levels but also with an increased percentage of CD14+CD16+ monocytes and higher levels of circulating IL17-A.

摘要

胰腺自身抗体(AAb)与胰肾联合移植(SPK)后胰腺移植物存活率降低有关。然而,由于 AAb 变为阳性的时间不同,以及缺乏提示这种自身免疫激活的早期生物标志物,导致β细胞破坏的机制仍不确定。本研究旨在评估移植后 AAb 与胰腺β细胞功能障碍之间的关系,以及这种 AAb 与 SPK 后炎症之间的关系。在一项纵向研究中,我们分析了移植后谷氨酸脱羧酶(GAD-65)和胰岛素瘤相关自身抗原 2(IA-2)自身抗体对胰腺移植物功能的影响。在血清转阳后,我们对一组移植后 AAb 阳性(AAb+;n=40)和另一组 AAb 阴性(AAb-;n=40)的患者进行了 Hb1Ac 和 C 肽(C-pep)的纵向比较,直到血清转阳后第 5 年。在横断面分析中,我们通过流式细胞术测量促炎 CD14+CD16+单核细胞,并测量 38 名 SPK 受者和 10 名健康对照者的血清白细胞介素 17-A 水平,进一步评估了炎症的系统特征。在纵向研究中,与整个随访期间保持 AAb-的患者相比,AAb+患者的 Hb1Ac 水平更高(p<0.001),C 肽水平更低(p<0.001)。在横断面研究中,与 AAb-患者和健康对照组相比,AAb+患者的 CD14+CD16+单核细胞百分比更高(分别为 6.70±4.19%、4.0±1.84%和 3.44±0.93%;p=0.026 和 0.009)。此外,CD14+CD16+单核细胞与 Hb1Ac 和 C 肽的血清水平相关。多变量逻辑回归显示,移植后 AAb+与促炎单核细胞百分比升高独立相关(调整后的比值比 1.59,95%CI 1.05-2.40,p=0.027)。与其他组(健康对照组或 AAb 阴性组)相比,AAb 阳性组的患者也表现出更高水平的 IL17A。总之,SPK 后胰腺 AAb+不仅与 Hb1Ac 升高和 C 肽血清水平降低有关,还与 CD14+CD16+单核细胞百分比升高和循环 IL17-A 水平升高有关。

https://cdn.ncbi.nlm.nih.gov/pmc/blobs/5667/6386378/fcc16366e0aa/pone.0212547.g001.jpg

文献AI研究员

20分钟写一篇综述,助力文献阅读效率提升50倍。

立即体验

用中文搜PubMed

大模型驱动的PubMed中文搜索引擎

马上搜索

文档翻译

学术文献翻译模型,支持多种主流文档格式。

立即体验