• 文献检索
  • 文档翻译
  • 深度研究
  • 学术资讯
  • Suppr Zotero 插件Zotero 插件
  • 邀请有礼
  • 套餐&价格
  • 历史记录
应用&插件
Suppr Zotero 插件Zotero 插件浏览器插件Mac 客户端Windows 客户端微信小程序
定价
高级版会员购买积分包购买API积分包
服务
文献检索文档翻译深度研究API 文档MCP 服务
关于我们
关于 Suppr公司介绍联系我们用户协议隐私条款
关注我们

Suppr 超能文献

核心技术专利:CN118964589B侵权必究
粤ICP备2023148730 号-1Suppr @ 2026

文献检索

告别复杂PubMed语法,用中文像聊天一样搜索,搜遍4000万医学文献。AI智能推荐,让科研检索更轻松。

立即免费搜索

文件翻译

保留排版,准确专业,支持PDF/Word/PPT等文件格式,支持 12+语言互译。

免费翻译文档

深度研究

AI帮你快速写综述,25分钟生成高质量综述,智能提取关键信息,辅助科研写作。

立即免费体验

氢键二维材料的负面积压缩性。

Negative area compressibility of a hydrogen-bonded two-dimensional material.

作者信息

Feng Guoqiang, Zhang Wei-Xiong, Dong Liyuan, Li Wei, Cai Weizhao, Wei Wenjuan, Ji Lijun, Lin Zheshuai, Lu Peixiang

机构信息

School of Materials Science and Engineering , Nankai University , Tianjin 300350 , China . Email:

Department of Physics and Mechanical & Electrical Engineering , Hubei University of Education , Wuhan 430205 , China.

出版信息

Chem Sci. 2018 Dec 4;10(5):1309-1315. doi: 10.1039/c8sc03291b. eCollection 2019 Feb 7.

DOI:10.1039/c8sc03291b
PMID:30809345
原文链接:https://pmc.ncbi.nlm.nih.gov/articles/PMC6357854/
Abstract

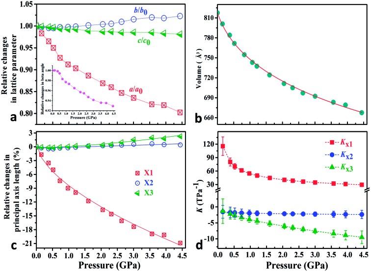
Very few materials expand two-dimensionally under pressure, and this extremely rare phenomenon, namely negative area compressibility (NAC), is highly desirable for technological applications in pressure sensors and actuators. Hitherto, the few known NAC materials have dominantly been limited to 2D crystals bonded coordination interactions while other 2D systems have not been explored yet. Here, we report the large NAC of a hydrogen-bonded 2D supramolecular coordination complex, Zn(CHCOO)·2HO, with a synergistic microscopic mechanism. Our findings reveal that such an unusual phenomenon, over a wide pressure range of 0.15-4.44 GPa without the occurrence of any phase transitions, arises from the complex cooperation of intra-layer coordination and hydrogen-bonding interactions, and inter-layer van der Waals forces. In addition, we propose that these NAC crystals could have important applications as pressure-converting materials in ultrasensitive pressure sensing devices.

摘要

极少数材料在压力下会二维膨胀,这种极其罕见的现象,即负面积压缩性(NAC),在压力传感器和致动器的技术应用中非常受欢迎。迄今为止,少数已知的NAC材料主要限于通过配位相互作用键合的二维晶体,而其他二维体系尚未得到探索。在此,我们报道了一种具有协同微观机制的氢键二维超分子配位络合物Zn(CH₃COO)₂·2H₂O的大NAC。我们的研究结果表明,这种不寻常的现象在0.15 - 4.44 GPa的宽压力范围内出现,且未发生任何相变,是由层内配位和氢键相互作用以及层间范德华力的复杂协同作用引起的。此外,我们提出这些NAC晶体作为超灵敏压力传感装置中的压力转换材料可能具有重要应用。

https://cdn.ncbi.nlm.nih.gov/pmc/blobs/a54e/6357854/b66abc56452e/c8sc03291b-f5.jpg
https://cdn.ncbi.nlm.nih.gov/pmc/blobs/a54e/6357854/62c10e28771e/c8sc03291b-f1.jpg
https://cdn.ncbi.nlm.nih.gov/pmc/blobs/a54e/6357854/be3cb1ddf331/c8sc03291b-f2.jpg
https://cdn.ncbi.nlm.nih.gov/pmc/blobs/a54e/6357854/feb194d9df09/c8sc03291b-f3.jpg
https://cdn.ncbi.nlm.nih.gov/pmc/blobs/a54e/6357854/59de52490421/c8sc03291b-f4.jpg
https://cdn.ncbi.nlm.nih.gov/pmc/blobs/a54e/6357854/b66abc56452e/c8sc03291b-f5.jpg
https://cdn.ncbi.nlm.nih.gov/pmc/blobs/a54e/6357854/62c10e28771e/c8sc03291b-f1.jpg
https://cdn.ncbi.nlm.nih.gov/pmc/blobs/a54e/6357854/be3cb1ddf331/c8sc03291b-f2.jpg
https://cdn.ncbi.nlm.nih.gov/pmc/blobs/a54e/6357854/feb194d9df09/c8sc03291b-f3.jpg
https://cdn.ncbi.nlm.nih.gov/pmc/blobs/a54e/6357854/59de52490421/c8sc03291b-f4.jpg
https://cdn.ncbi.nlm.nih.gov/pmc/blobs/a54e/6357854/b66abc56452e/c8sc03291b-f5.jpg

相似文献

1
Negative area compressibility of a hydrogen-bonded two-dimensional material.氢键二维材料的负面积压缩性。
Chem Sci. 2018 Dec 4;10(5):1309-1315. doi: 10.1039/c8sc03291b. eCollection 2019 Feb 7.
2
Giant Negative Area Compressibility Tunable in a Soft Porous Framework Material.在软多孔骨架材料中可调节的巨大负面积压缩性。
J Am Chem Soc. 2015 Jul 29;137(29):9296-301. doi: 10.1021/jacs.5b03280. Epub 2015 May 26.
3
Data Mining for New Two- and One-Dimensional Weakly Bonded Solids and Lattice-Commensurate Heterostructures.数据挖掘新型二维和一维弱束缚固体以及晶格匹配的异质结构。
Nano Lett. 2017 Mar 8;17(3):1915-1923. doi: 10.1021/acs.nanolett.6b05229. Epub 2017 Feb 15.
4
Effect of high pressure on the typical supramolecular structure of guanidinium methanesulfonate.高压对胍甲烷磺酸盐典型超分子结构的影响。
J Phys Chem B. 2012 Mar 15;116(10):3092-8. doi: 10.1021/jp212349h. Epub 2012 Mar 5.
5
Van der Waals Layer Transfer of 2D Materials for Monolithic 3D Electronic System Integration: Review and Outlook.二维材料的范德华层转移用于整体 3D 电子系统集成:综述与展望。
ACS Nano. 2023 Feb 14;17(3):1831-1844. doi: 10.1021/acsnano.2c10737. Epub 2023 Jan 19.
6
Two-Dimensional Covalent Crystals by Chemical Conversion of Thin van der Waals Materials.通过范德华薄材料的化学转化制备二维共价晶体
Nano Lett. 2019 Sep 11;19(9):6475-6481. doi: 10.1021/acs.nanolett.9b02700. Epub 2019 Aug 26.
7
Hydrogen bonding versus van der Waals interactions: competitive influence of noncovalent interactions on 2D self-assembly at the liquid-solid interface.氢键与范德华相互作用:非共价相互作用对固-液界面二维自组装的竞争影响。
Chemistry. 2010 Dec 27;16(48):14447-58. doi: 10.1002/chem.201001653.
8
Giant negative linear compressibility in zinc dicyanoaurate.锌二氰合金(I)中的巨大负线性压缩系数。
Nat Mater. 2013 Mar;12(3):212-6. doi: 10.1038/nmat3551. Epub 2013 Jan 20.
9
Quantum magnetic phenomena in engineered heterointerface of low-dimensional van der Waals and non-van der Waals materials.低维范德华和非范德华材料工程异质界面中的量子磁现象。
Phys Chem Chem Phys. 2023 Jan 18;25(3):1430-1456. doi: 10.1039/d2cp05228h.
10
Boosting the electronic and catalytic properties of 2D semiconductors with supramolecular 2D hydrogen-bonded superlattices.利用超分子二维氢键超晶格提升二维半导体的电学和催化性能。
Nat Commun. 2022 Jan 26;13(1):510. doi: 10.1038/s41467-022-28116-y.

引用本文的文献

1
Colossal Negative Area Compressibility in the Ferroelastic Framework Cu(tcm).铁弹性框架Cu(tcm)中的巨大负面积压缩性
J Am Chem Soc. 2025 May 28;147(21):17946-17953. doi: 10.1021/jacs.5c02999. Epub 2025 May 14.
2
Unexpected giant negative area compressibility in palladium diselenide.二硒化钯中意外的巨大负面积压缩性。
Natl Sci Rev. 2023 Jan 20;10(9):nwad016. doi: 10.1093/nsr/nwad016. eCollection 2023 Sep.
3
Elastic and hydrostatic behaviour of a zinc dietary supplement, zinc glycinate hydrate.一种锌膳食补充剂——甘氨酸锌水合物的弹性和流体静力行为

本文引用的文献

1
Zero Linear Compressibility in Nondense Borates with a "Lu-Ban Stool"-Like Structure.具有“鲁班凳”结构的非密集硼酸盐的零线性压缩率。
Adv Mater. 2018 Aug;30(32):e1801313. doi: 10.1002/adma.201801313. Epub 2018 Jun 25.
2
Jahn-Teller Effect on Framework Flexibility of Hybrid Organic-Inorganic Perovskites.Jahn-Teller效应 对 有机-无机杂化钙钛矿框架灵活性的影响
J Phys Chem Lett. 2018 Feb 15;9(4):751-755. doi: 10.1021/acs.jpclett.7b03229. Epub 2018 Feb 2.
3
Large Negative Linear Compressibility in InH(BDC)₂ from Framework Hinging.
RSC Adv. 2019 Apr 30;9(23):13153-13158. doi: 10.1039/c9ra00385a. eCollection 2019 Apr 25.
4
Crystal Structure, Infrared Spectrum and Elastic Anomalies in Tuperssuatsiaite.图珀斯石的晶体结构、红外光谱与弹性异常
Sci Rep. 2020 May 5;10(1):7510. doi: 10.1038/s41598-020-64481-8.
框架铰链导致 InH(BDC)₂的大负线性压缩性。
J Am Chem Soc. 2017 Nov 8;139(44):15648-15651. doi: 10.1021/jacs.7b10292. Epub 2017 Oct 26.
4
High-Pressure Study of Perovskite-Like Organometal Halide: Band-Gap Narrowing and Structural Evolution of [NH-(CH)-NH]CuCl.类钙钛矿有机金属卤化物的高压研究:[NH-(CH)-NH]CuCl的带隙变窄与结构演化
J Phys Chem Lett. 2017 Jan 19;8(2):500-506. doi: 10.1021/acs.jpclett.6b02786. Epub 2017 Jan 11.
5
Mechanism of Pressure-Induced Phase Transitions, Amorphization, and Absorption-Edge Shift in Photovoltaic Methylammonium Lead Iodide.光伏材料甲基碘化铅中压力诱导相变、非晶化及吸收边位移的机制
J Phys Chem Lett. 2016 Sep 1;7(17):3458-66. doi: 10.1021/acs.jpclett.6b01648. Epub 2016 Aug 26.
6
High pressure behaviour and elastic properties of a dense inorganic-organic framework.一种致密无机-有机骨架的高压行为和弹性性质
Dalton Trans. 2016 Mar 14;45(10):4303-8. doi: 10.1039/c5dt03505h.
7
Isotropic Negative Area Compressibility over Large Pressure Range in Potassium Beryllium Fluoroborate and its Potential Applications in Deep Ultraviolet Region.在大压力范围内具有各向同性负面积压缩率的氟硼酸铍钾及其在深紫外区的潜在应用。
Adv Mater. 2015 Sep 2;27(33):4851-7. doi: 10.1002/adma.201502212. Epub 2015 Jul 17.
8
Negative linear compressibility.负线性压缩性
Phys Chem Chem Phys. 2015 Aug 28;17(32):20449-65. doi: 10.1039/c5cp00442j. Epub 2015 May 28.
9
Giant Negative Area Compressibility Tunable in a Soft Porous Framework Material.在软多孔骨架材料中可调节的巨大负面积压缩性。
J Am Chem Soc. 2015 Jul 29;137(29):9296-301. doi: 10.1021/jacs.5b03280. Epub 2015 May 26.
10
Giant negative linear compression positively coupled to massive thermal expansion in a metal-organic framework.金属有机骨架中巨大的负线性压缩与大量热膨胀的正耦合。
Nat Commun. 2014 Jul 4;5:4337. doi: 10.1038/ncomms5337.